Предмет: Математика,
автор: Аноним
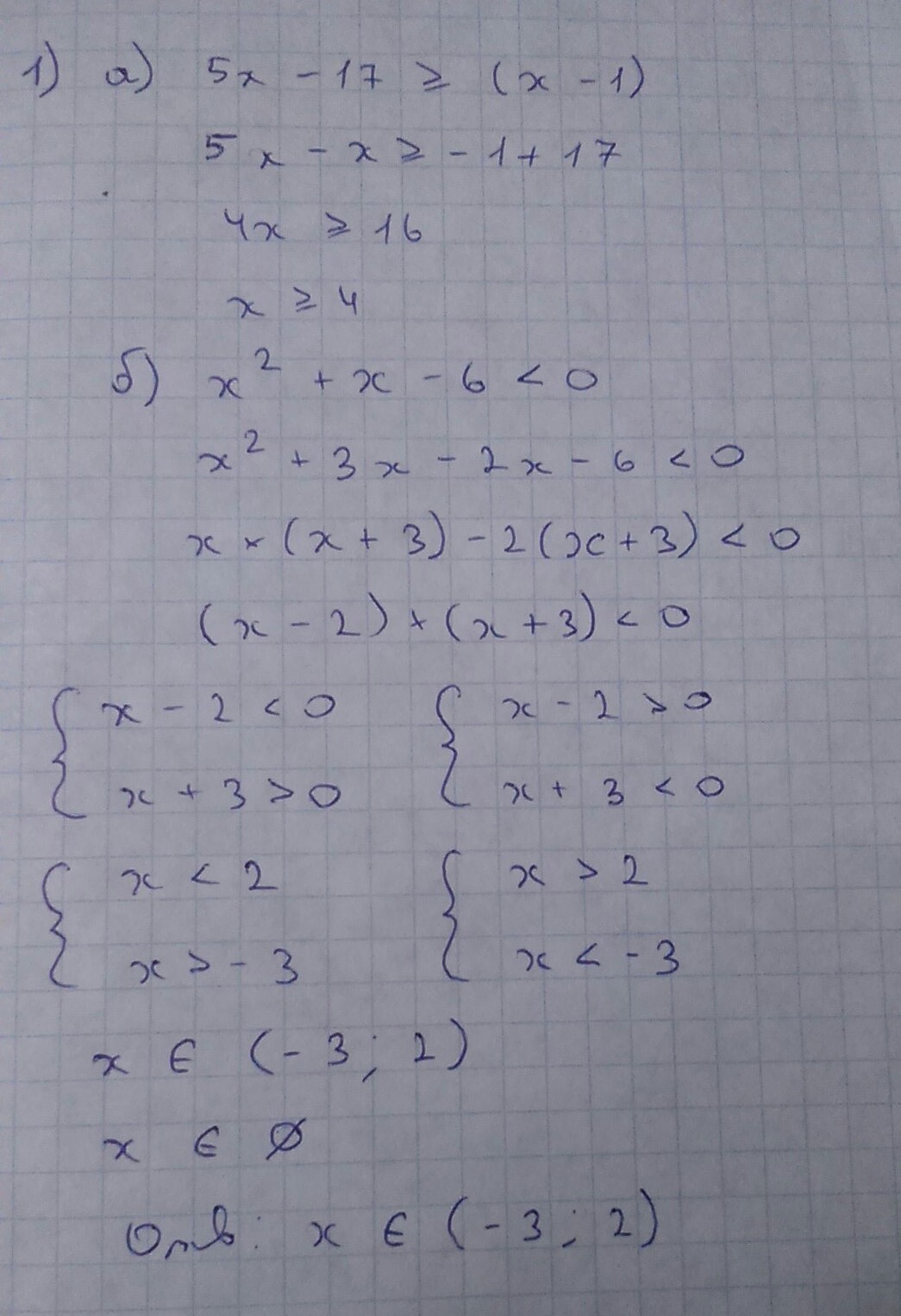
Решите пожалуйста)спасибо тому кто решит)))
Приложения:
Ответы
Автор ответа:
0
слишком мало баллов за большую работу)
Приложения:
Похожие вопросы
Предмет: Информатика,
автор: Аноним
Предмет: Русский язык,
автор: Аноним
Предмет: Физика,
автор: nika961181
Предмет: История,
автор: nasttt1