Предмет: Математика,
автор: mamedovaguler88
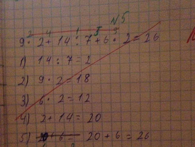
Помогите пожалуйста решить этот пример дочка моя сделала но не правильно
Приложения:
Ответы
Автор ответа:
0
1) 9*2=18
2)14:7=2
3)6*2=12
4)18+2=20
5)20+12=32
2)14:7=2
3)6*2=12
4)18+2=20
5)20+12=32
Похожие вопросы
Предмет: Математика,
автор: lilamajskaa0
Предмет: Українська мова,
автор: Gggubom
Предмет: Обществознание,
автор: Igorgony9
Предмет: Геометрия,
автор: Аноним
Предмет: История,
автор: bitirasn