Предмет: Математика, автор: AyaHeyli

1115+(610+29)

(дроби)

Ответы

Автор ответа: KingOfGamePrestols
0
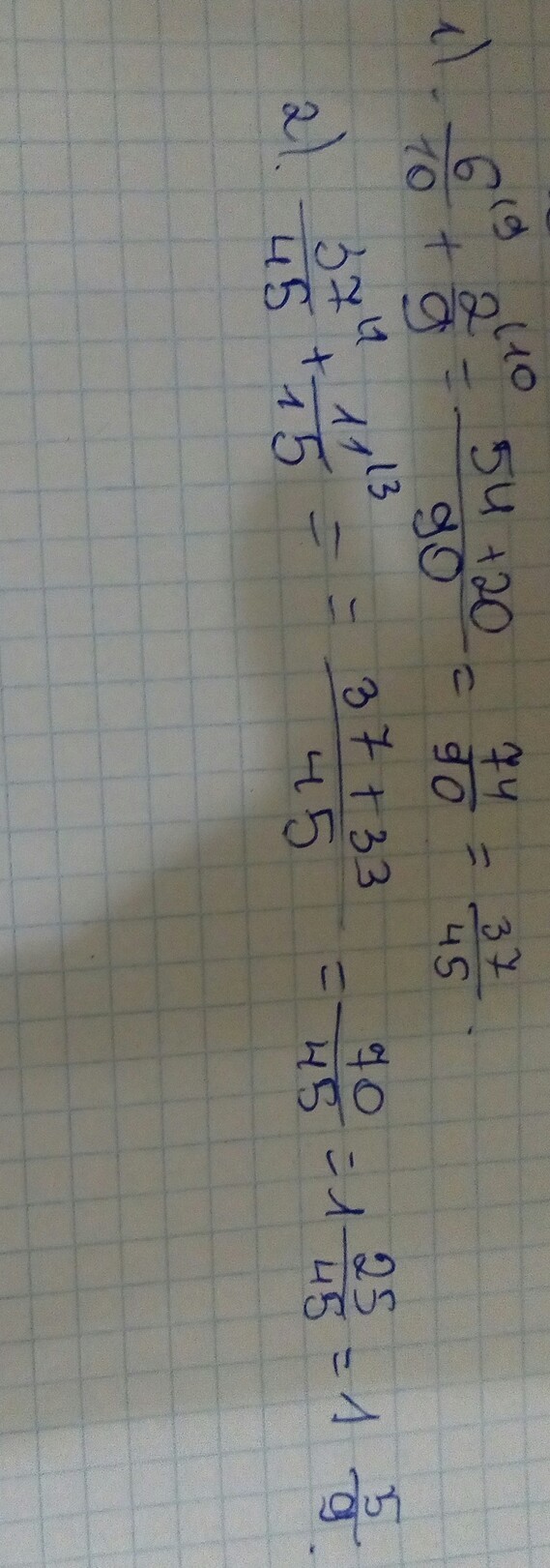
Вот такое решение получилось.
Приложения:
Автор ответа: SAOVID
0
11/15+(52/90+20/90)=11/15+72/90=66/90+72/90=138/90=1 48/90= 1 6/9= 1 2/3
Приложения:
Автор ответа: Панда77777777
0
74/90=37/45
Автор ответа: KingOfGamePrestols
0
Я же сократила.
Автор ответа: Панда77777777
0
37/45+11/15=70/45=1 целая 25/45=1 целая5/9
Автор ответа: KingOfGamePrestols
0
Да.
Автор ответа: KingOfGamePrestols
0
У меня решение чуть выше.
Похожие вопросы
Предмет: Физика, автор: sqkzhp5n98
Предмет: Математика, автор: Aska3322
Предмет: Информатика, автор: тракнлипнн