Предмет: Математика,
автор: alyonaefr
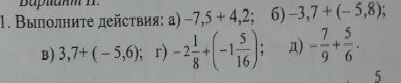
ПОМОГИТЕ ПОЖАЛУЙСТА ! ОЧЕНЬ СРОЧНО НУЖНО!
Приложения:
Ответы
Автор ответа:
0
вот пожалуйста ))))))
Приложения:
Автор ответа:
0
спасибо большое
Похожие вопросы
Предмет: Математика,
автор: 4tex210820
Предмет: Беларуская мова,
автор: dveripol89
Предмет: География,
автор: zlataridel268
Предмет: Математика,
автор: anna29111987