Предмет: Математика,
автор: liza9914
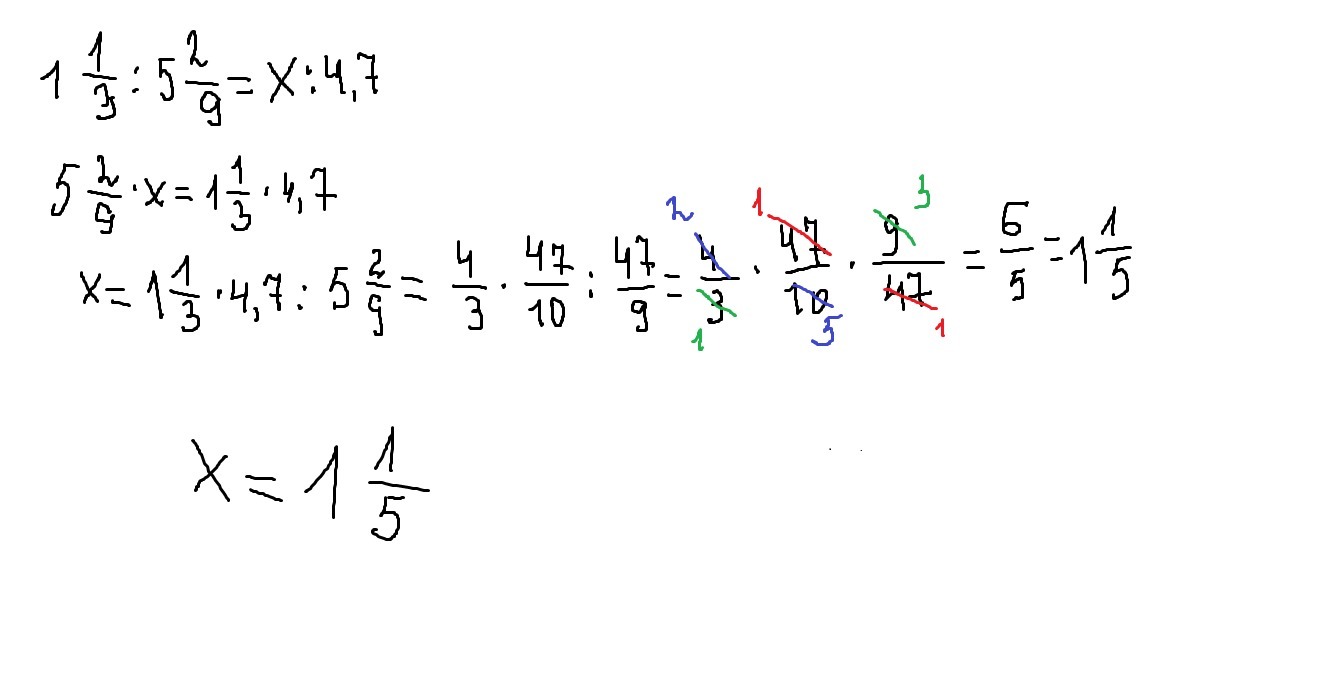
неизвестный член пропорции. В виде фотографии (пожалуйста)
Приложения:
Ответы
Автор ответа:
0
решение смотри на картинке внизу
Приложения:
Похожие вопросы
Предмет: Литература,
автор: mrsecret0991
Предмет: Литература,
автор: hshxjxj
Предмет: История,
автор: 89828207661
Предмет: Химия,
автор: arturyo
Предмет: Алгебра,
автор: bahahas