Предмет: Алгебра,
автор: surovikinaanna1
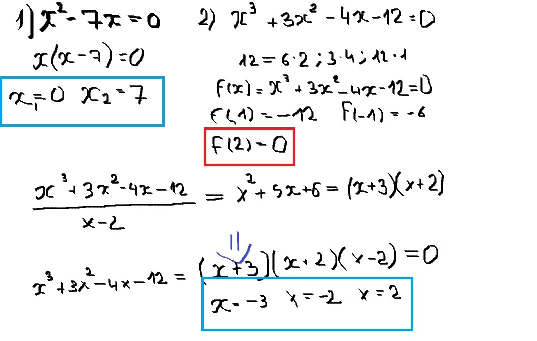
Решите уравнения
x²-7x=0
x³+3x²-4x-12=0
Ответы
Автор ответа:
0
Чтобы знать, как разложить куб. ур., посмотри теорему Горнера и Безу.
Вроде их в школах не изучают. Вроде..
Вроде их в школах не изучают. Вроде..
Приложения:
Похожие вопросы
Предмет: История,
автор: sohrimenko35
Предмет: Қазақ тiлi,
автор: arinastepaskova52
Предмет: Математика,
автор: Аноним
Предмет: Математика,
автор: alobolenceva