Предмет: Алгебра,
автор: кот62
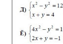
Помогите решить, пожалуйста!
Приложения:
Ответы
Автор ответа:
0
Это первое
Дальше второе, ноя в этом не уверенна
Дальше второе, ноя в этом не уверенна
Приложения:
Похожие вопросы
Предмет: Алгебра,
автор: garoy3341
Предмет: Английский язык,
автор: aiarudaniarkyzy
Предмет: ОБЖ,
автор: vladislavagladkih15
Предмет: Математика,
автор: Аноним
Предмет: Биология,
автор: бананьчик2