Предмет: Алгебра, автор: comfy3002

Чому дорівнює сума перших шести членів геометричної прогресії (Вn) якщо В3=12 В4=-24

Ответы

Автор ответа: dtnth
0
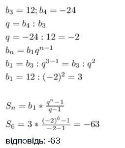
b_3=12; b_4=-24
q=b_4:b_3
q=-24:12=-2
b_n=b_1q^{n-1}
b_1=b_3:q^{3-1}=b_3:q^2
b_1=12:(-2)^2=3

S_n=b_1*frac{q^n-1}{q-1}
S_6=3*frac{(-2)^6-1}{-2-1}=-63
відповідь: -63
Приложения:
Автор ответа: SiMpOCh
0
как приложения называется?
Автор ответа: dtnth
0
на сайте встроенн LaTeX чтоб набирать формулы, а скрин потом с помощью "Ножницы" которые в винду на компеноуте встроены
Автор ответа: SiMpOCh
0
спс
Похожие вопросы
Предмет: Музыка, автор: абузяр