Предмет: Алгебра,
автор: Helltale
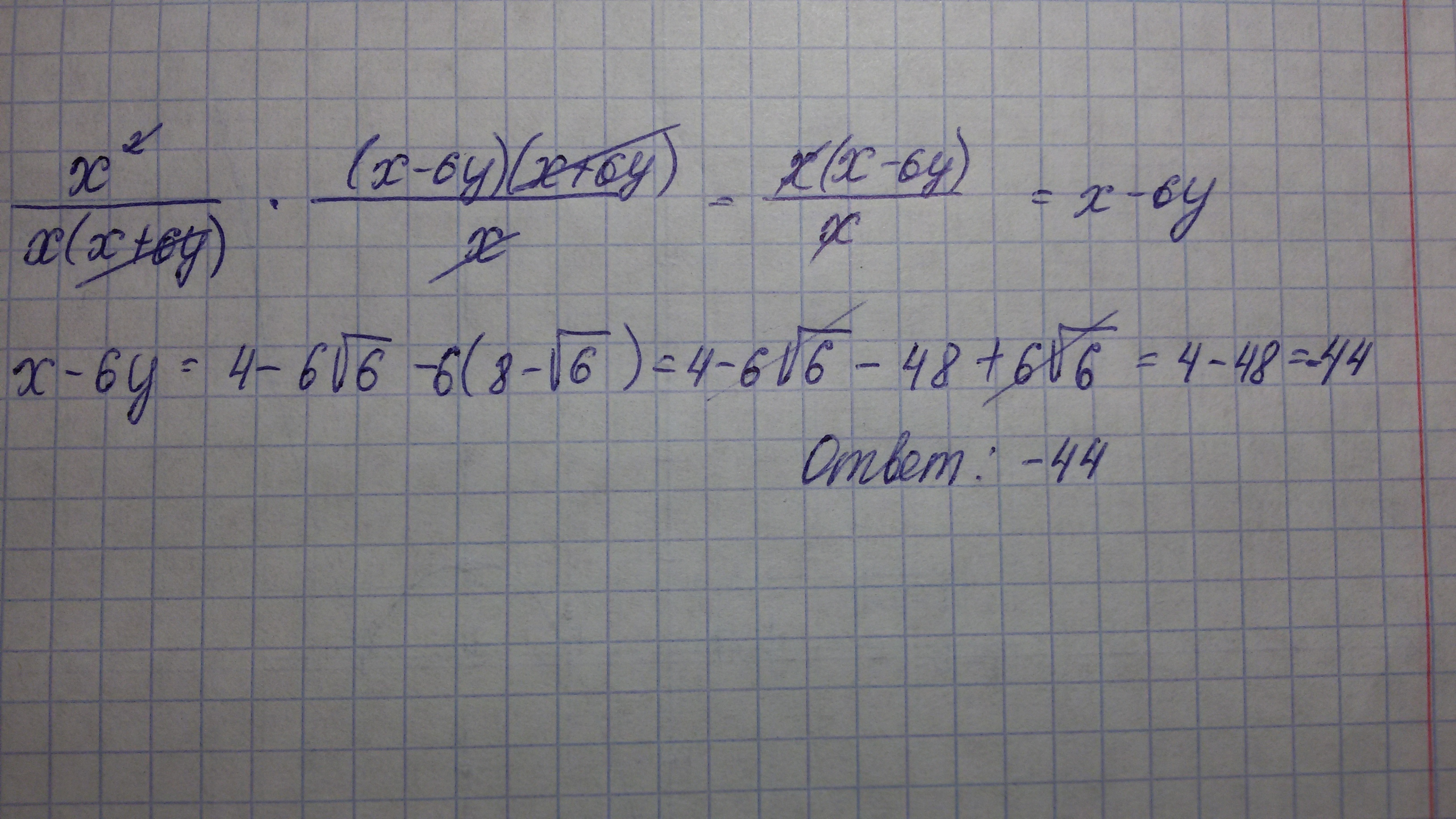
Найдите значение выражения
Приложения:
Ответы
Автор ответа:
0
Найдите значение выражения при x^2/x^2+6xy : x/x^2-36y^2
Приложения:
Похожие вопросы
Предмет: Биология,
автор: Katrinos
Предмет: Математика,
автор: merdenovat
Предмет: Английский язык,
автор: 19052016asd
Предмет: Математика,
автор: Lemrhk
Предмет: Математика,
автор: Аноним