Предмет: Математика, автор: Л1В2

Уравнение:
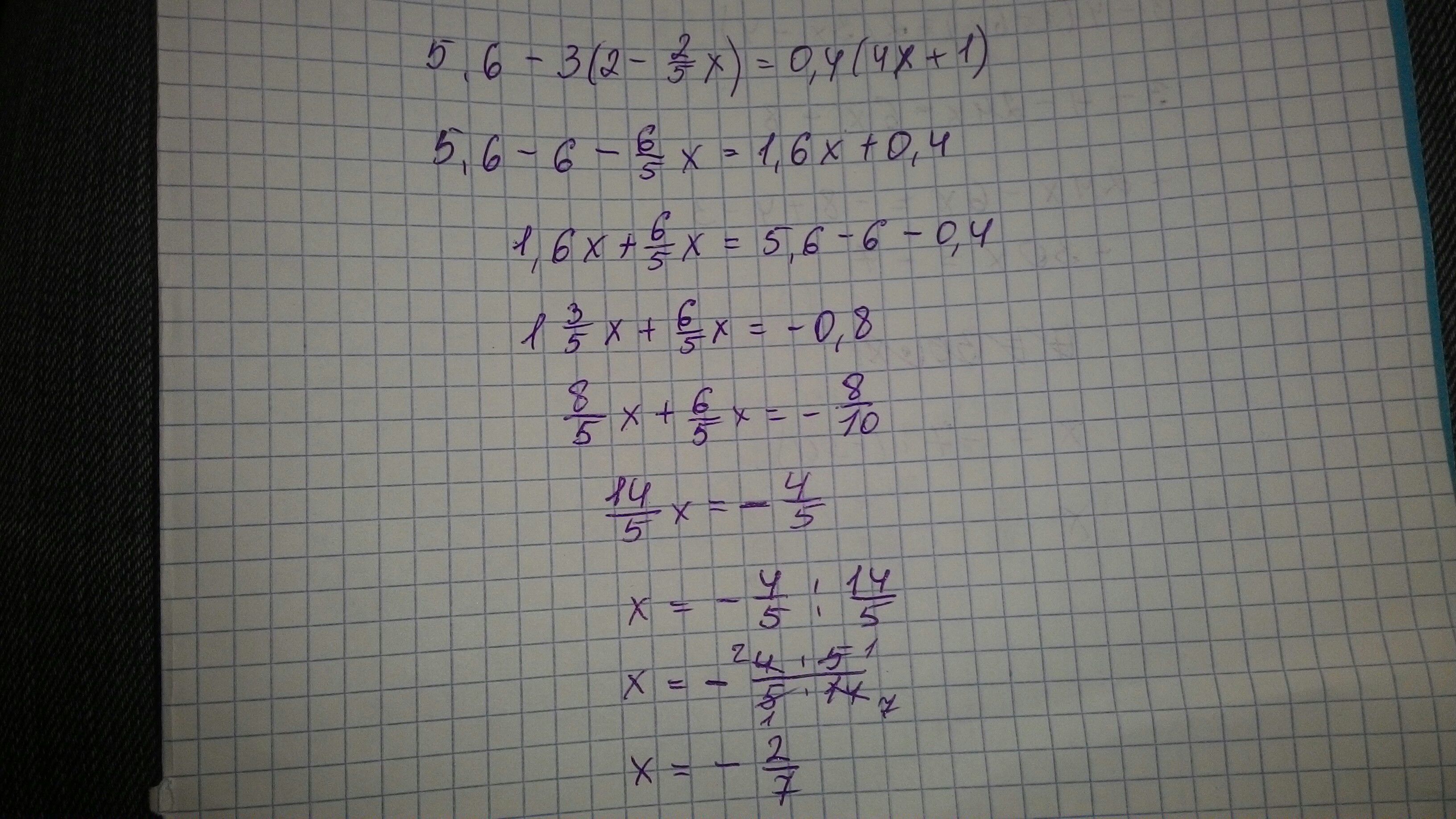
5,6 - 3(2-2/5х) =0,4(4х+1)

Ответы

Автор ответа: musiafin
0
Ответ............................
Приложения:
Похожие вопросы
Предмет: Право, автор: karimbaevaeleonora
1. Какие качества отличают человека от других живых существ? 2. Какую роль играют эмоции и потребности в жизни? 3. Какие факторы влияют на формирование личности? 4. Какие ценности имеют значение для личности? 5. Приведите примеры ценностей, которые важны для человека. 6. Какую роль играет государство в формировании личности? 7. Какие возможности создаются в нашем государстве для молодого поколения, чтобы стать полноценной личностью? 8. Как мотивирует ваших сверстников, то, что в основе глобальных реформ, инициированных Президентом Узбекистана, личность, его интересы, становление подрастающего поколения полноценными личностями? 9. Объясните важность человеческого капитала встановлении стоит ЛИЧНОСТИ. 10. Кого из наших предков мы можем назвать «великими личностями»? Назовите их имена. срочнооооо пожалуйста помогите ​
Предмет: МХК, автор: apelsinkaaa51