Предмет: Математика,
автор: Slavik223idi
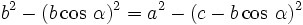
это часть доказательства теоремы косинусов
помогите преобразовать первую картинку во вторую (или из первого равенства выразить а в квадрате) - на сейте где это нашёл создаётся впечатление будто сделали что-то очень простое
если понадобится то 3 картинка -рисунок к доказательству
Приложения:
Ответы
Автор ответа:
0
В правой части раскроем скобки по формуле квадрата разницы:
b² - (b*cosα)² = a² - (c - b*cosα)²
b² - (b*cosα)² = a² - (c² - 2bc*cosα+ (b*cosα)²)
b² - (b*cosα)² = a² - c² + 2bc*cosα - (b*cosα)²
Осталось привести подобные:
a² = b² - (b*cosα)² + (b*cosα)² +c² - 2bc*cosα
a² = b² + c² - 2bc*cosα
b² - (b*cosα)² = a² - (c - b*cosα)²
b² - (b*cosα)² = a² - (c² - 2bc*cosα+ (b*cosα)²)
b² - (b*cosα)² = a² - c² + 2bc*cosα - (b*cosα)²
Осталось привести подобные:
a² = b² - (b*cosα)² + (b*cosα)² +c² - 2bc*cosα
a² = b² + c² - 2bc*cosα
Автор ответа:
0
пока писал, сам успокоился и решил ;-)
Автор ответа:
0
отлично)
Похожие вопросы
Предмет: Русский язык,
автор: mrgene986
Предмет: Литература,
автор: svetlanakondratenko3
Предмет: Математика,
автор: valikvar319
Предмет: Алгебра,
автор: DanielCarroll