Предмет: Алгебра,
автор: svetakuklina01
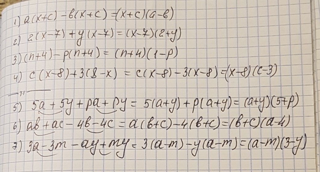
Вынесите за скобки общий множитель:
a(x+c)-b(x+c)
2(x-7)+y(x-7)
(n+4)-p(n+4)
c(x-8)+3(8-x)
Разложите на множители:
5a+5y+pa+py
ab+ac-4b-4c
3a-3m-ay+my
Ответы
Автор ответа:
0
решение задания смотри на фотографии
Приложения:
Автор ответа:
0
Спасибо
Похожие вопросы
Предмет: Русский язык,
автор: anieelevv
Предмет: Математика,
автор: Straniyartem
Предмет: Русский язык,
автор: pubgucheniya
Предмет: Биология,
автор: максим11723
Предмет: История,
автор: lizasharonina