Предмет: Математика,
автор: kotikovvlad1
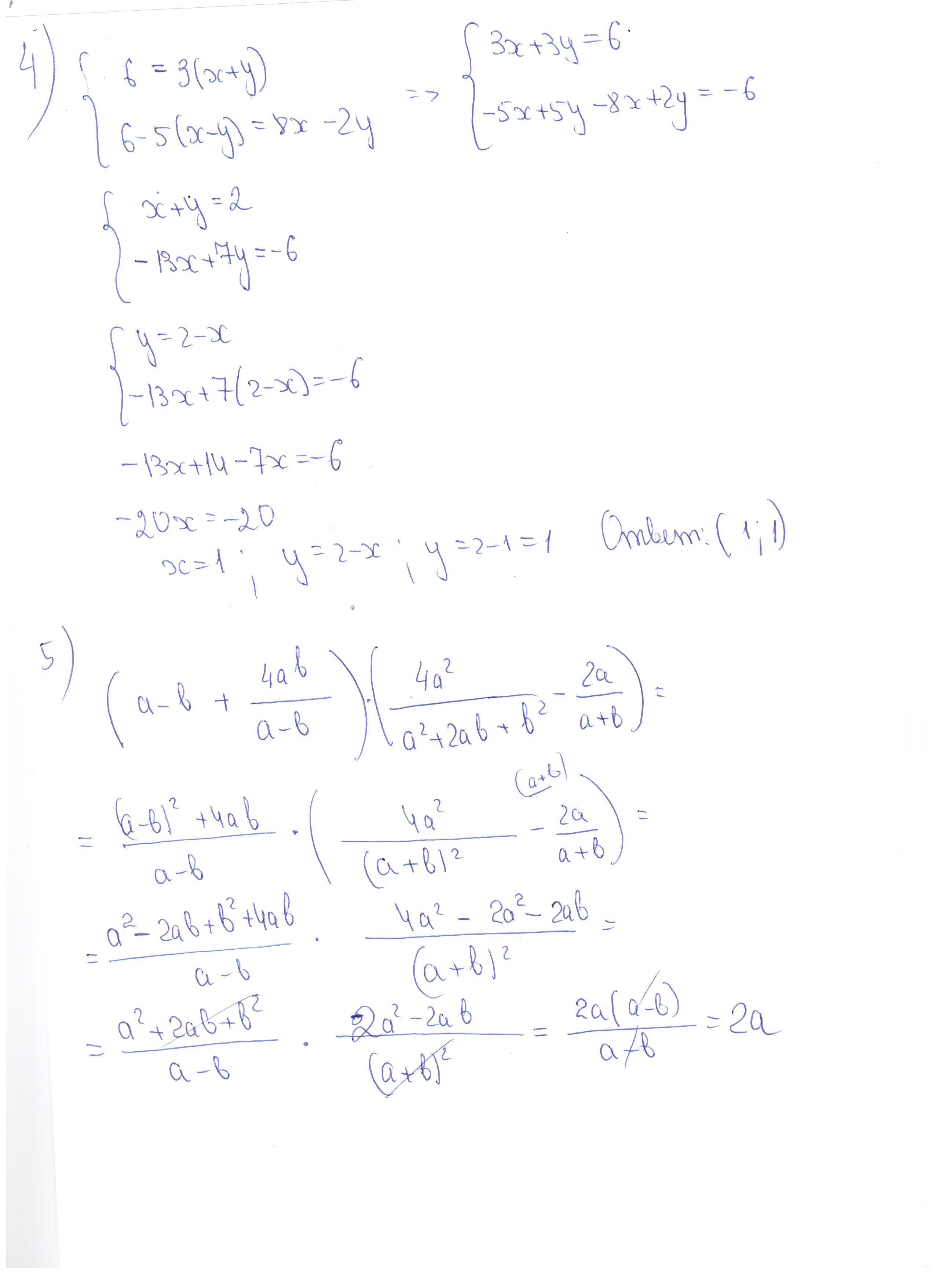
решите пажалуйста 4-5 задание второй вариант
Приложения:
Ответы
Автор ответа:
0
Решение смотри на 1 листе
Приложения:
Похожие вопросы
Предмет: Математика,
автор: Аноним
Предмет: Английский язык,
автор: memtovzekki
Предмет: Английский язык,
автор: baldenaru
Предмет: Математика,
автор: людаструкт
Предмет: Алгебра,
автор: диана4ка1