Предмет: Алгебра,
автор: Аноним
Помогите пдзплзплзплзплз
Даю 15 баллов
Приложения:
Ответы
Автор ответа:
0
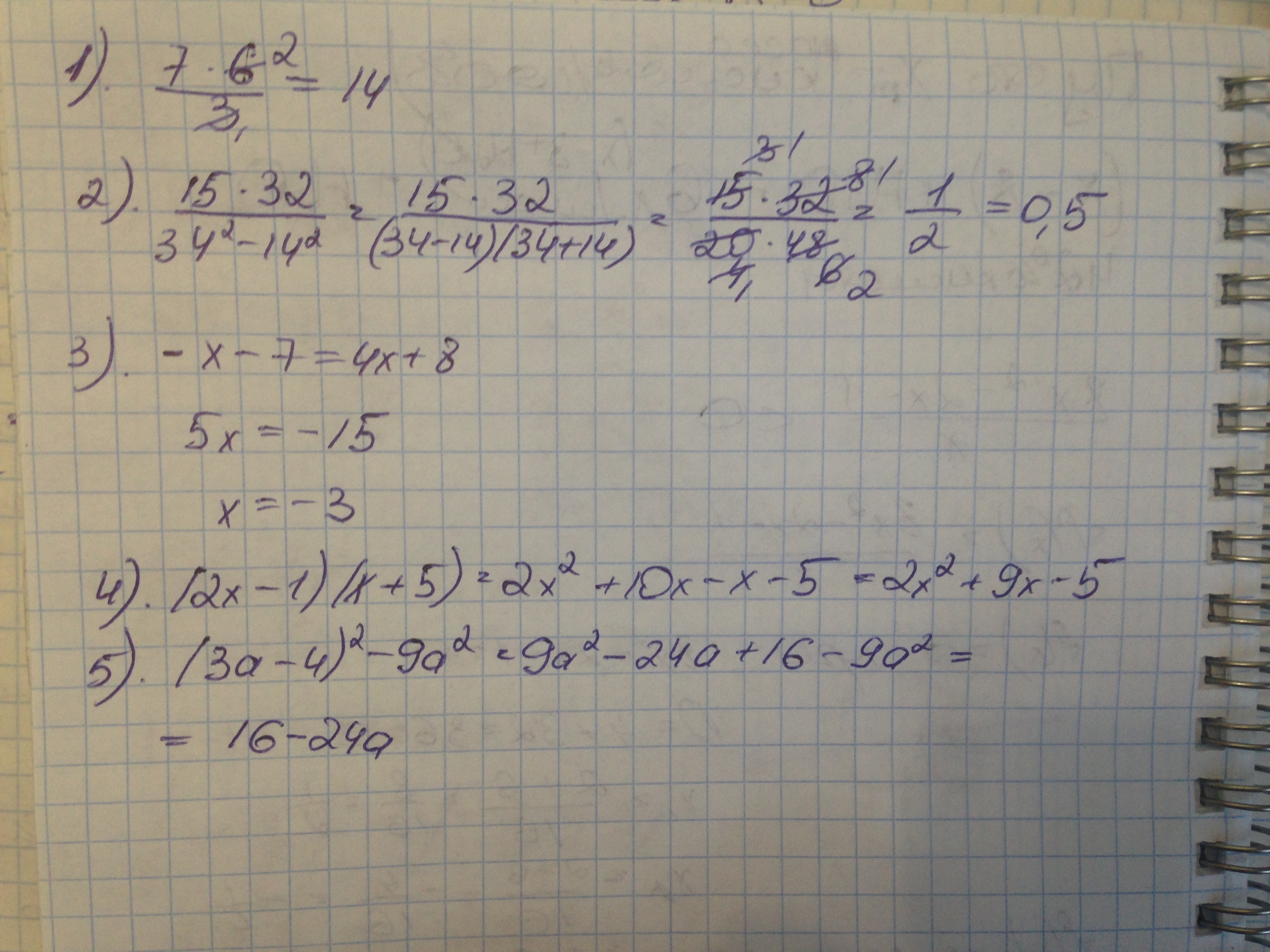
1).14
2).0,5
3).-3
4).2x^2+9x-5
5).16-24a
2).0,5
3).-3
4).2x^2+9x-5
5).16-24a
Приложения:
Автор ответа:
0
СПС братан это а ты в геометрии шаришь ?
Автор ответа:
0
А как получилось 24?
Похожие вопросы
Предмет: География,
автор: verver07
Предмет: Русский язык,
автор: samirshagaipov
Предмет: Геометрия,
автор: juliakhulyk2017
Предмет: Химия,
автор: natashakovalen18