Предмет: Алгебра,
автор: lerachernenko
х²+10х2-2х+52=20
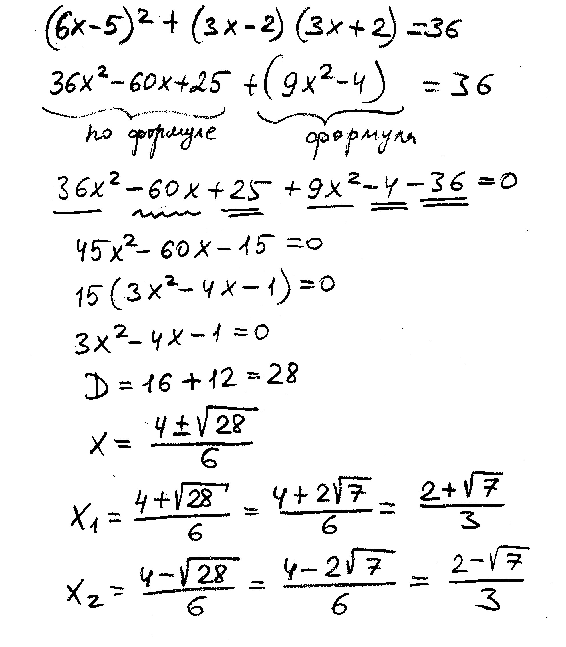
(6х-5)²+(3х-2)(3х+2)=36
Ответы
Автор ответа:
0
решу второе уравнение, в 1 непонятно что на что делится.
Приложения:
Автор ответа:
0
Можеш лучше объяснить второе
Автор ответа:
0
сейчас напишу на листочке
Автор ответа:
0
Спасибо
Автор ответа:
0
теперь понятно?
Автор ответа:
0
Да большое спасибо
Похожие вопросы
Предмет: Русский язык,
автор: sahnozaocilova40
Предмет: Геометрия,
автор: FGGHQQQF
Предмет: История,
автор: ganhgayana
Предмет: Математика,
автор: Maga098