Предмет: Физика,
автор: zombotron1
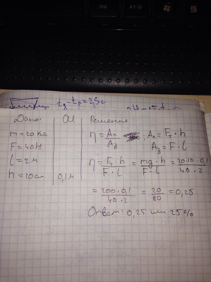
Груз массой 20 кг равномерно тянут вдоль наклонной плоскости, прикладывая силу 40Н. Чему равен КПД наклонной плоскости, если её длинна 2м, а высота 10см?
Ответы
Автор ответа:
0
Насчет 0,25 или 25% без разницы,можно и так и так записывать.
Приложения:
Автор ответа:
0
спасибо!!!
Похожие вопросы
Предмет: Математика,
автор: qujijk
Предмет: Қазақ тiлi,
автор: david88815
Предмет: Литература,
автор: aziza7420
Предмет: Математика,
автор: bol95
Предмет: Физика,
автор: Koldnik