Предмет: Алгебра,
автор: KingJulian
помогите решить уравнение
Приложения:
Ответы
Автор ответа:
0
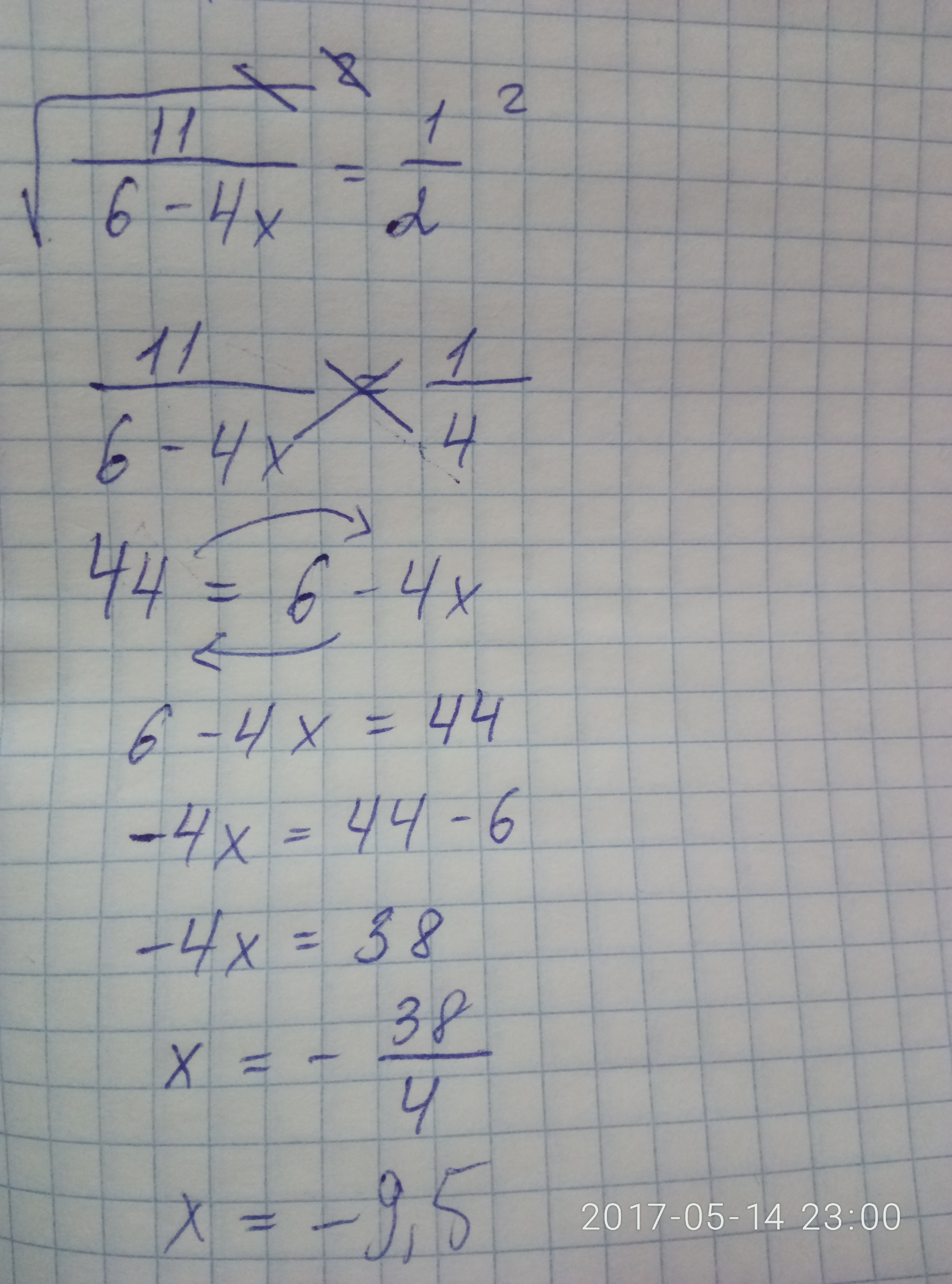
11:(6-4х)=0.25
11=1.5-х
х==-9.5
11=1.5-х
х==-9.5
Автор ответа:
0
Чтобы убрать корень, ставим квадраты в обе стороны. Корень с квадратом стираются. Квадрат 1/2 = 1/4. Далее решаем по методу крест на крест. Когда меняешь местами, значение уравнения не меняется.
Приложения:
Похожие вопросы
Предмет: Физика,
автор: МирзаевФайк
Предмет: Математика,
автор: ladyladylada
Предмет: Қазақ тiлi,
автор: naurizbaevaasel594
Предмет: Литература,
автор: Олесия11
Предмет: Математика,
автор: АртёмЧичерин