Предмет: Алгебра,
автор: sologubolya
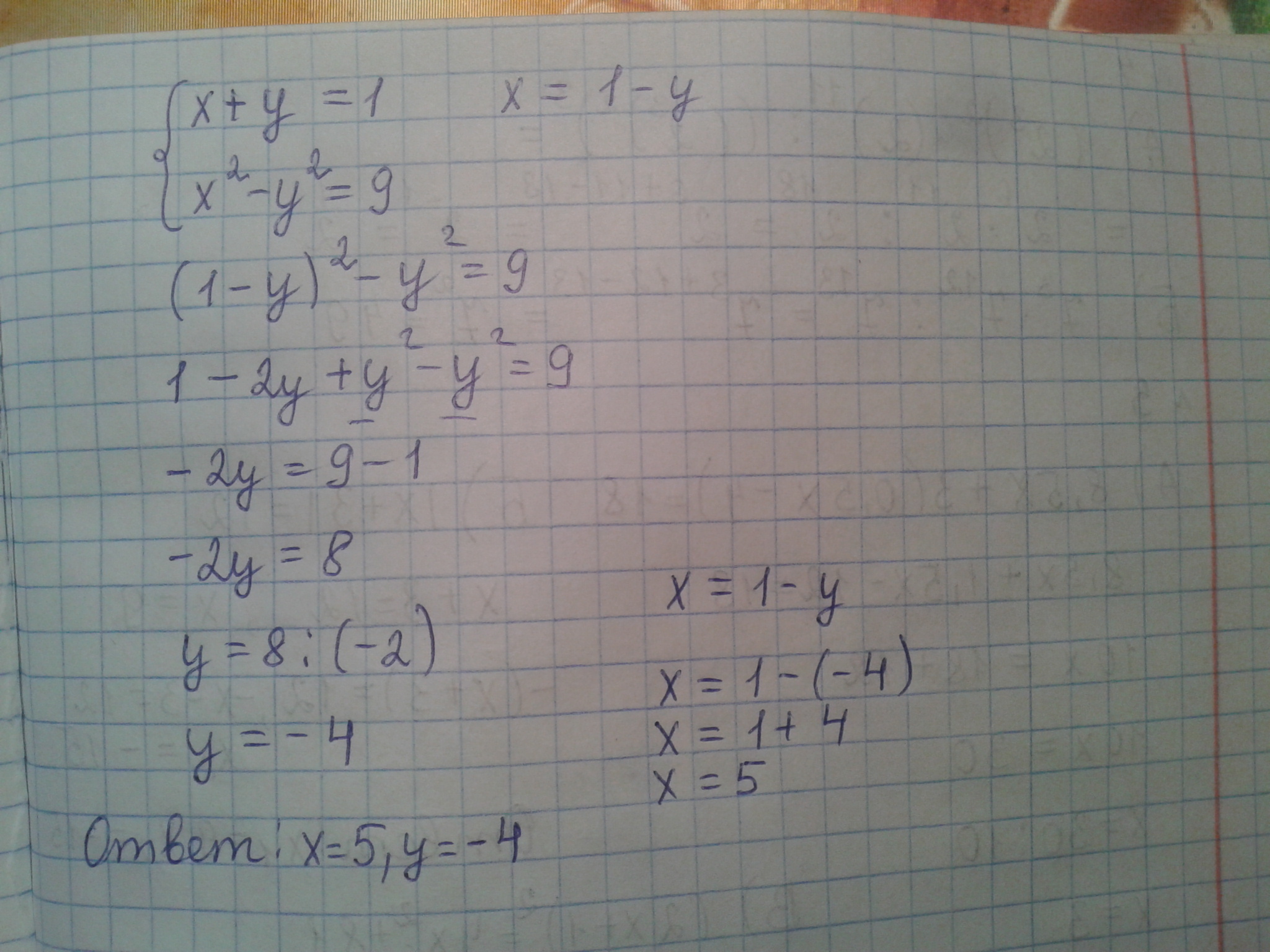
Решите систему уравнений х+у=1 и х2-у2=9.
Ответы
Автор ответа:
0
.......................................
Приложения:
Похожие вопросы
Предмет: Геометрия,
автор: eva11282004
Предмет: Русский язык,
автор: Аноним
Предмет: Математика,
автор: baxtiyorovadilbar8
Предмет: История,
автор: david334
Предмет: Биология,
автор: vasos1