Предмет: Алгебра, автор: AlinkaLink

Сравните числа
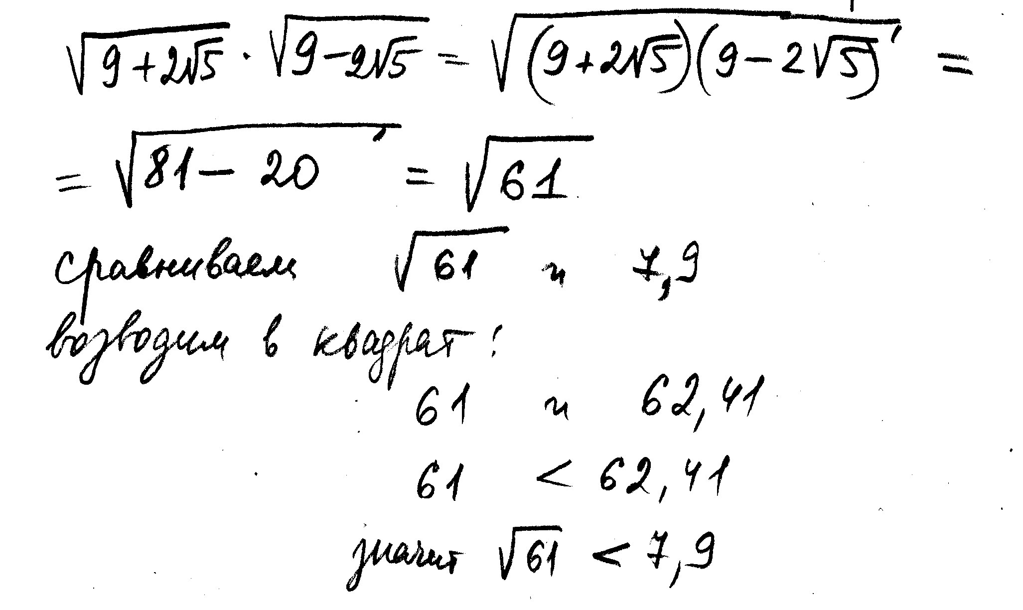
Помогите решить пожалуйста и объясните как сделать

Приложения:

Ответы

Автор ответа: samodina
0


(во вложенном файле)

Приложения:
Похожие вопросы
Предмет: Алгебра, автор: alina24240
Предмет: Русский язык, автор: gasarineq4592
Укажите предложения, в которых неправильно расставлены знаки препинания.
Посетители библиотеки либо где-нибудь учились либо мечтали учиться.
Такая музыка казалась к лицу и погоде, и старику, и его речам.
Крыши строений, огородные гряды, край забора, самый двор: всё было покрыто пушистым слоем света.
Лето стояло ветреное, лёгкое, с быстрыми дождями.
Легко друзей найти, да трудно сохранить.
2) Укажите предложения, в которых правильно расставлены знаки препинания.
Того и гляди воры войдут в открытые двери, или влезут в окно.
Тут я слышал раскаты грома и скорбные стоны, и смех детей, и пенье птичек, и неслыханно прекрасные песни девушек.
Теперь стук тележки, да звон колокольчика одни нарушают окрестное безмолвие.
Плачет девочка, и стынет на ветру осенних гроз, и ручонкою озябшей вытирает капли слёз.
Деревья и травы летом и в самом начале осени по-весеннему сочны и свежи.
3) Укажите предложения, в которых на месте всех пропусков ставится запятая.
Захотел медведь мёду _ да вспомнил про пчёл.
Солнечный жар _ и блеск сменились прохладой ночи _ и неярким светом молодого лица.
День начинался или в тумане _ или в заморозке, в инее.
Под головой у Жени лежала теперь мягкая _ кожаная подушка.
Красный мухомор не спутаешь ни с каким другим грибом _ ни на одно мгновение _ ни издали _ ни вблизи.
4) Укажите предложения, в которых употреблены несколько рядов однородных членов.
Жужжание, песня, трескотня со всех сторон неслись и утопали в сиянии голубого дня.
Вороны тоже кормятся возле людей, пасутся на свалках и мусорных кучах.
Ночь настала, месяц всходит, поле всё Иван обходит, звёзды на небе считает да краюшку уплетает.
Дождь утратил постоянство и шёл порывами, переходя то в ливень, то в изморось.
Вьюн необыкновенно почтителен и ласков, одинаково умильно смотрит как на своих, так и на чужих.
5) Укажите предложения, в которых на месте всех пропусков ставится запятая.
Жидкий _ разбавленный синим туманом свет просачивается в угрюмый ельник.
Вокруг простиралось кочковатое болото _ поросшее одинокими _ и чахлыми берёзками _ и камышом.
Человек _ собака _ да кошка _ да сокол друг другу поклялись однажды в дружбе вечной.
Как милы мне твои улыбки молодые _ и быстрые глаза _ и кудри золотые _ и звонкий голос.
Густая _ зелёная грива висела над низким отлогим берегом.
6) Укажите верные утверждения.
Однородные члены предложения могут соединяться при перечислительной интонации.
После однородных членов перед обобщающим словом не могут употребляться вводные конструкции.
В предложении может быть два и более однородных ряда.
Если однородные члены предложения соединены двойным союзом, то между ними запятая не ставится.
Не являются однородными членами уточняющие члены предложения.
7) Укажите предложения с однородными членами (знаки препинания не расставлены).
Впереди грозовой тучи бежали на нас рваные облака и своим стремительным движением приводили в хаос все краски на земле.
С неприветливого неба моросило и моросило.
Макар не мог не заметить, что он подвигался сравнительно с другими довольно быстро и поспешил приписать это своей добродетели.
Всё больше мною овладевало странное но уже давно мне знакомое чувство какой-то тоскливой неудовлетворённости.
Она взяла и уехала домой.
8) Укажите предложения, в которых на месте всех пропусков ставится запятая.
По нашей музыкант сыграл ноктюрн для мамы _ и сестры _ и сонату для меня _ и отца.
В самом начале лета травы и цветы _ живут своей яркой жизнью _ и радуются каждому дню.
Собрались здесь и знакомые _ и соседи _ и родственники.
У меня есть замысел _ и мечта _ и силы для исполнения всего этого.
Это было проявление _ не только мужества _ но и великой заботы о людях.
9) Укажите предложения, в которых на месте всех пропусков ставится запятая.
Во всех её движениях замечалась не то небрежность _ не то усталость.
Есть в светлости осенних вечеров умильная _ таинственная прелесть.
На огромном расстоянии разлёгся город _ и тихо пламенел _ и сверкал синими _ белыми _ жёлтыми огнями.
И видишь ты синий свод неба _ да солнце _ да лес.
Белоствольная _ раскидистая берёза мешалась с низкорослой серо-зелёной осиной.
10) Укажите предложения, в которых определения не являются однородными (знаки препинания не расставлены).
Её красивый кожаный длинный плащ произвёл на нас сильное впечатление.
Приближался тёплый июльский вечер.
У неё были лучистые мягкие бархатные глаза.
Широкий казарменный двор кишел солдатскими фигурами.
Красивая кареглазая девушка направилась ко мне.
Предмет: Математика, автор: tatianamurzina
Предмет: Математика, автор: бонд0071