Предмет: Математика,
автор: helper777msk
Математика. 30+ баллов. Показательное уравнение!
Помогите, пожалуйста! Решение нужно подробное.
Ответы
Автор ответа:
0
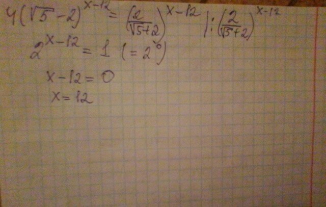
Деление дробей: 
Остальное - в фотографии :)
Остальное - в фотографии :)
Приложения:
Автор ответа:
0
Ответ в учебнике равен 14. Все ли правильно?
Автор ответа:
0
Да, правильно. Если подставить значение 14 вместо х и проверить, например, на калькуляторе - между дробями явно нельзя ставить знак равенства.
Автор ответа:
0
Хорошо. Спасибо большое.
Автор ответа:
0
Пожалуйста. :)
Похожие вопросы
Предмет: Химия,
автор: ktosalternativu
Предмет: История,
автор: nnastenka63
Предмет: Немецкий язык,
автор: dhdhxhhsjshds
Предмет: Алгебра,
автор: Орхан050595
Предмет: Математика,
автор: aleksandrsush