Предмет: Алгебра,
автор: ktrn24
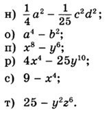
Разложите на множители
Приложения:
Ответы
Автор ответа:
0
(1/2а-1/5сд)(1/2а+1/5сд)
(а2-б) =======
х4-у3)======
2х*2-5у*5)=====
3-х*2)====
5-уз3)=====
там где ==== нужно еще одна скобка столько знак поменяй на противоположный как в первом примере
(а2-б) =======
х4-у3)======
2х*2-5у*5)=====
3-х*2)====
5-уз3)=====
там где ==== нужно еще одна скобка столько знак поменяй на противоположный как в первом примере
Автор ответа:
0
Разложи на множители 0,027−0,3 t−t^2+t^3
Похожие вопросы
Предмет: Окружающий мир,
автор: brawlcolk
Предмет: Алгебра,
автор: eunbearable
Предмет: Окружающий мир,
автор: kamila11122010
Предмет: Математика,
автор: Мрлмлпгмишнишрил
Предмет: Математика,
автор: ylitka28