Предмет: Математика,
автор: katusha1232
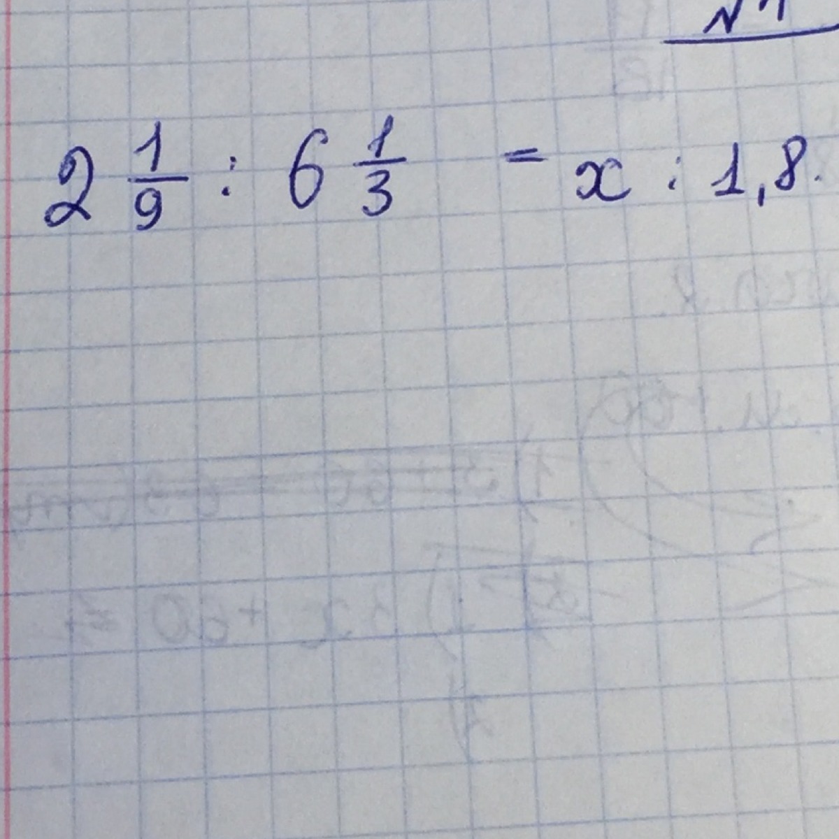
Найдите все Неизвестные члены... решите)) только решение а не ответ
Приложения:
Ответы
Автор ответа:
0
2 целых 29:6 целых 13=х:1,8
х:1,8=199 * 957
х:1,8=13
х=13*1810
х=610 или 0,6
Ответ: х=0,6
х:1,8=199 * 957
х:1,8=13
х=13*1810
х=610 или 0,6
Ответ: х=0,6
Похожие вопросы
Предмет: Математика,
автор: lbe6556
Предмет: Қазақ тiлi,
автор: smallnastya
Предмет: Русский язык,
автор: MishailMartinyk
Предмет: Биология,
автор: izolon822
Предмет: История,
автор: ульяна12345654