Предмет: Алгебра,
автор: shchipakinas
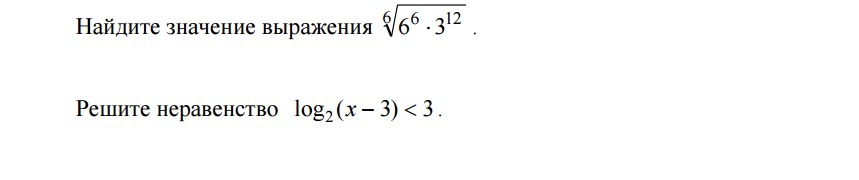
Помогите решить !!!!!!!!!!!!!!
Приложения:
Ответы
Автор ответа:
0
ОДЗ: x-3>0, x>3
x∈(3;∞)
3=log₂2³=log₂8
log₂(x-3)<log₂8
основание логарифма а=2, 2>1, знак неравенства не меняем
x-3<8. x<11
учитывая ОДЗ, получим:
--------(3)-----------(11)------------->x
/ / / / / / / / / / / / //
ответ: x∈(3;11)
Похожие вопросы
Предмет: Қазақ тiлi,
автор: Pomogititop
Предмет: История,
автор: Maxdin
Предмет: Українська література,
автор: pubgtt1999
Предмет: Литература,
автор: Vladka007
Предмет: Математика,
автор: nhnfcvjuh