Предмет: Математика,
автор: ПолинаЗайка12
помогите пж умоляю,заранее спасибо
Приложения:
Ответы
Автор ответа:
0
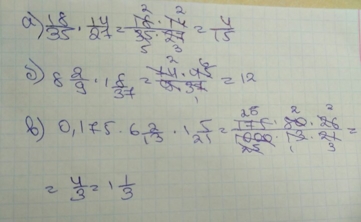
............................................
Приложения:
Похожие вопросы
Предмет: Биология,
автор: polina4kazp
Предмет: История,
автор: patrikeevamargarita8
Предмет: Математика,
автор: terens19
Предмет: Физика,
автор: 77599120183
Предмет: Физика,
автор: dimmaa1qw