Предмет: Геометрия,
автор: sasha2547
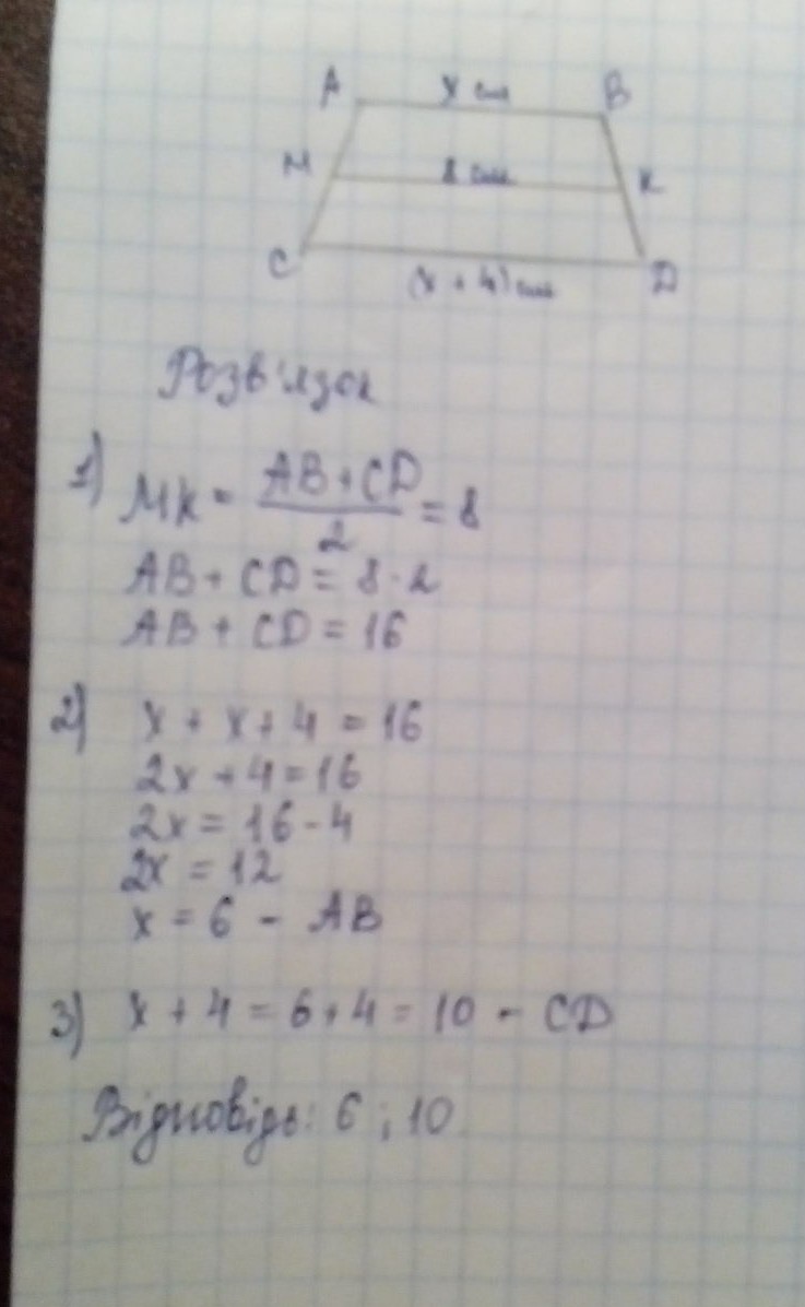
середня лінія трапеції дорівнює 8см знайдіть основи трапеції якщо одна з них на 4 см більша за іншу
Ответы
Автор ответа:
0
Не уверена... вроде правильно.
Приложения:
Автор ответа:
0
спасибо
Похожие вопросы
Предмет: Математика,
автор: aabdypatakhova
Предмет: Қазақ тiлi,
автор: ludmilaanek
Предмет: Қазақ тiлi,
автор: paveltoksanbaev
Предмет: Алгебра,
автор: лимончик25
Предмет: Алгебра,
автор: lew9