Предмет: Алгебра, автор: Аноним

решите плиз только пункт а

Приложения:

Ответы

Автор ответа: debnatkh
0
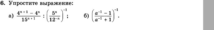
 frac{4^{n+1}-4^n}{15^{n+1}} :( frac{5^n}{12^{-n}} )^{-1} =  frac{4^n(4-1)}{15^ncdot15}cdot60^n=  frac{4^{2n}cdot3}{15}= frac{4^{2n}}{5}
Похожие вопросы
Предмет: Химия, автор: МаликаМуртузалиева