Предмет: Алгебра,
автор: Dasharaitt
Помогите пожалуйста
Приложения:
Ответы
Автор ответа:
0
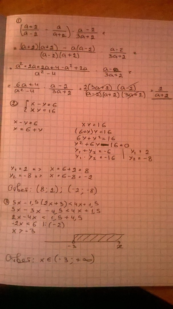
(на фото подробное решение)
1. первую скобку приводим к общему знаменателю, приводим подобные, сокращаем
2.из первого уравнения выражаем х, подставляем во второе выражаем у.
3.раскрываем скобки, приводим подобные
4.пользуемся правилами умножения и деление чисел с одинаковыми основаниями
5. по точкам строи график, то что заштриховано это положительные значения у
1. первую скобку приводим к общему знаменателю, приводим подобные, сокращаем
2.из первого уравнения выражаем х, подставляем во второе выражаем у.
3.раскрываем скобки, приводим подобные
4.пользуемся правилами умножения и деление чисел с одинаковыми основаниями
5. по точкам строи график, то что заштриховано это положительные значения у
Приложения:
Похожие вопросы
Предмет: Қазақ тiлi,
автор: eralytop123
Предмет: Русский язык,
автор: yulialaputina
Предмет: Русский язык,
автор: michailchifichkik
Предмет: Математика,
автор: ророророророр
Предмет: Литература,
автор: idevovaKatya