Предмет: Математика,
автор: Pasha2004123
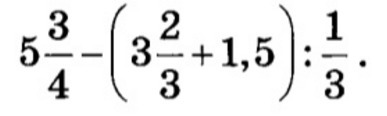
Найдите значение выражения
Приложения:
Ответы
Автор ответа:
0
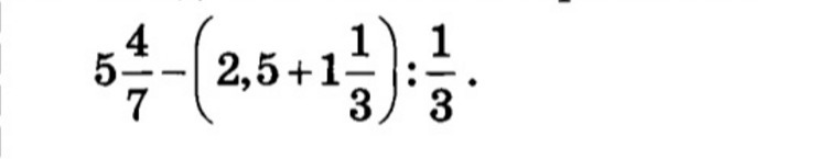
ну вот)))
надеюсь, что правильно..
надеюсь, что правильно..
Приложения:
Похожие вопросы
Предмет: Физика,
автор: Zyxra6662003
Предмет: Математика,
автор: jaroslavpurin
Предмет: Английский язык,
автор: danterov2020
Предмет: Право,
автор: choduraakalino
Предмет: Литература,
автор: юлианоченька