Предмет: Алгебра,
автор: araykooosh
помагите пожалуйста ) )
Приложения:
Ответы
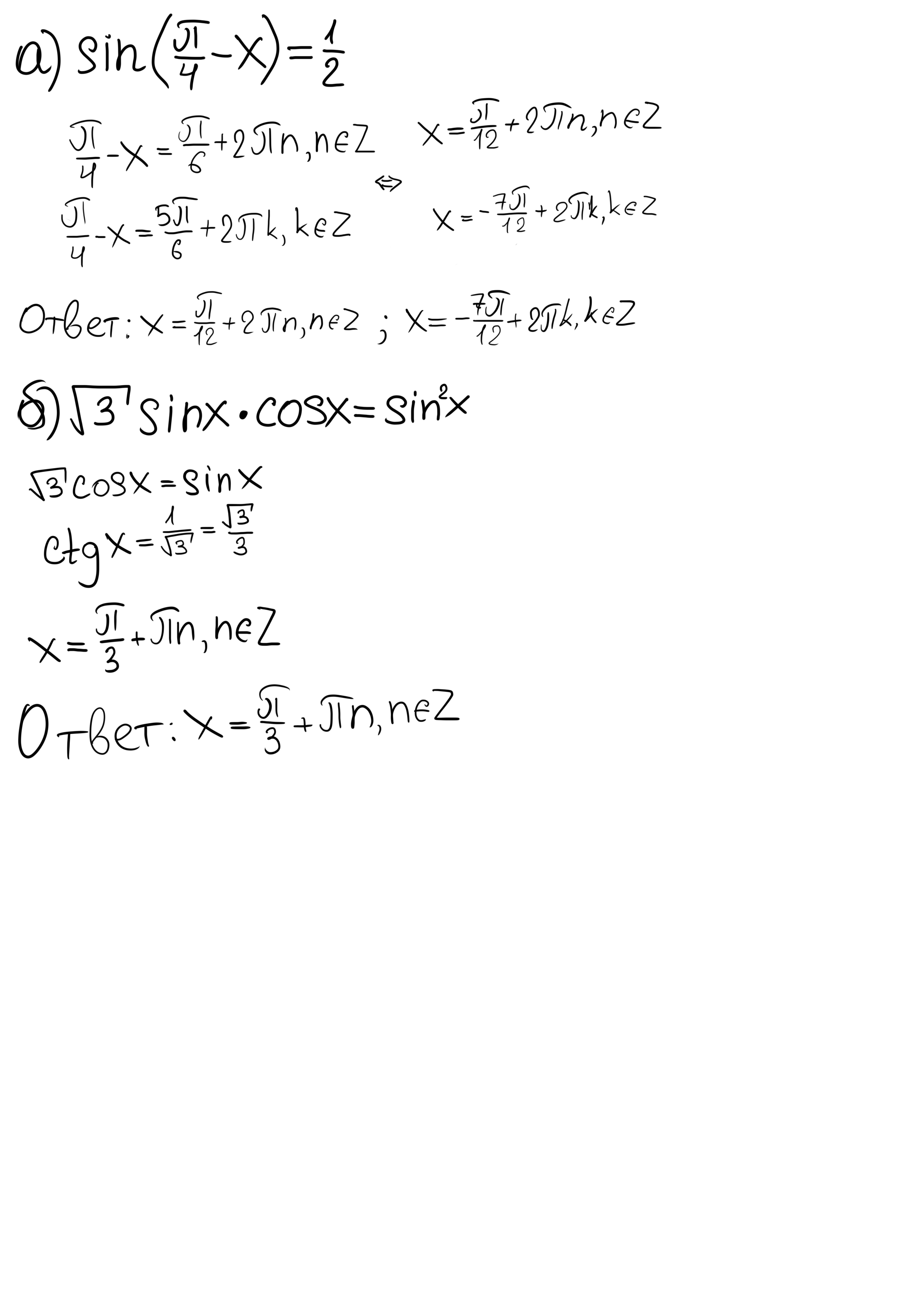
Автор ответа:
0
вроде все правильно, но лучше проверить
Приложения:
Похожие вопросы
Предмет: Қазақ тiлi,
автор: germanmax64
Предмет: Математика,
автор: alinakostuk251
Предмет: Геометрия,
автор: BarryAllen3
Предмет: Математика,
автор: сила4
Предмет: Литература,
автор: 1234mariecat