Предмет: Математика,
автор: 1337Liker1337
ребят помогите СРОЧНО нужно, не получается вообще!!!
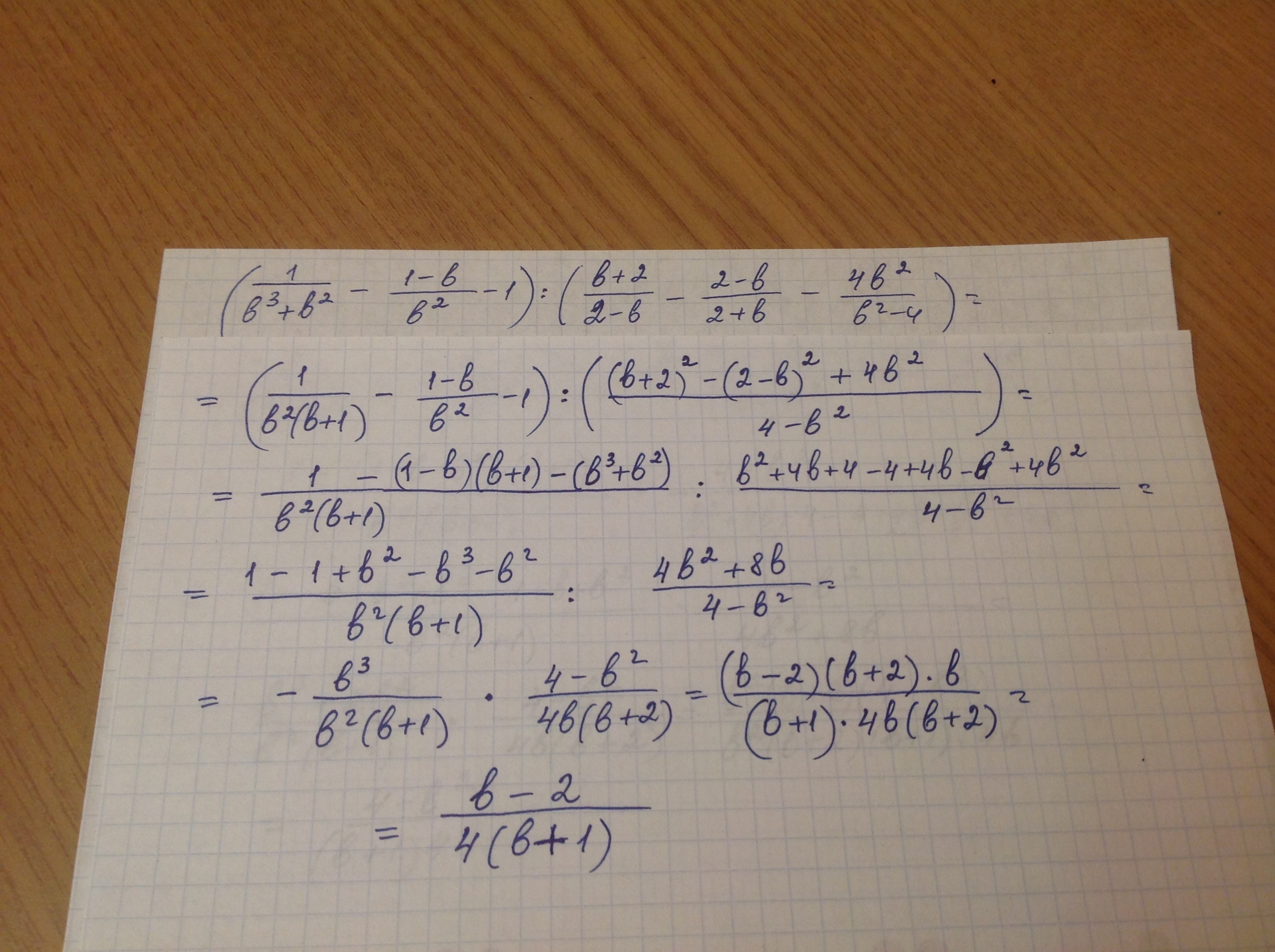
(1/b^3+b^2 - 1-b/b^2 -1) : (b+2/2-b - 2-b/2+b - 4b^2/b^2-4)
номер 4 я кинул фотку если не понятно
Зарание большое спасибо!!!
СРОЧНО!!!
Приложения:
Ответы
Автор ответа:
0
Решение смотри на фото
Приложения:
Автор ответа:
0
спасибо вам большое!!!!
Похожие вопросы
Предмет: Математика,
автор: skasymkhanova
Предмет: Литература,
автор: chalova2008
Предмет: Биология,
автор: alinahot93
Предмет: Математика,
автор: ариналов