Предмет: Математика,
автор: DafnaAriadna
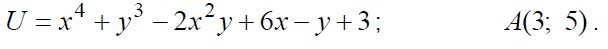
Дана функция U f (x, y) и точка A(x0 , y0 ) . Найти
градиент функции gradU в заданной точке A.
Приложения:
Ответы
Автор ответа:
0
см фото
=================================
=================================
Приложения:
Автор ответа:
0
Спасибо. Вы - лучший! Совпало с моим ответом.
Похожие вопросы
Предмет: Геометрия,
автор: alex20070909
Предмет: Информатика,
автор: tani4ka1234567
Предмет: Русский язык,
автор: sarvinoznymonovna
Предмет: Химия,
автор: yanazepsan
Предмет: Обществознание,
автор: mashabest