Предмет: Математика,
автор: Yarina0311
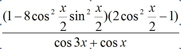
не сходится ответ с учебником.
Приложения:
Ответы
Автор ответа:
0
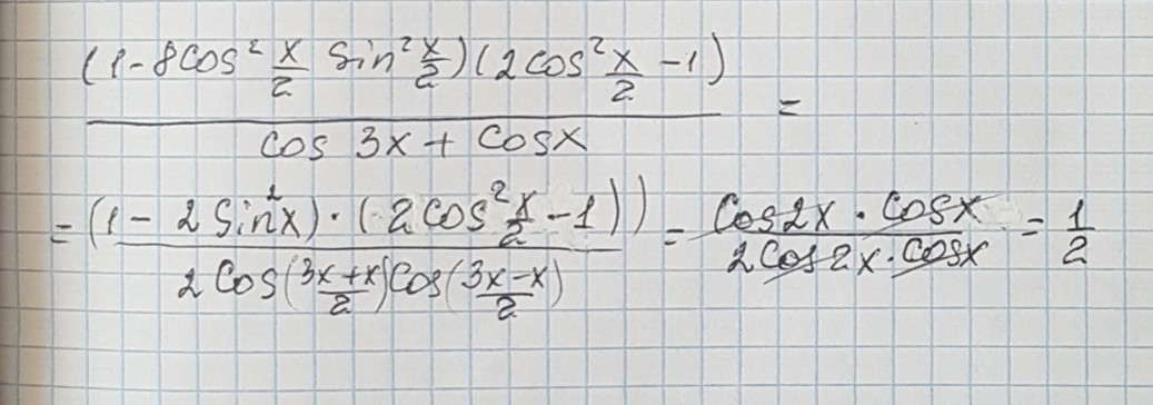
решение задания смотри на фотографии
Приложения:
Автор ответа:
0
пожалуйста
Похожие вопросы
Предмет: Математика,
автор: mariateplova99
Предмет: Химия,
автор: akolontaj77
Предмет: География,
автор: densesnake
Предмет: Литература,
автор: twerk15