Предмет: Математика,
автор: 1YuriKOkay1
Здравствуйте, помогите решить домашнее задание по теме: «Первообразная».
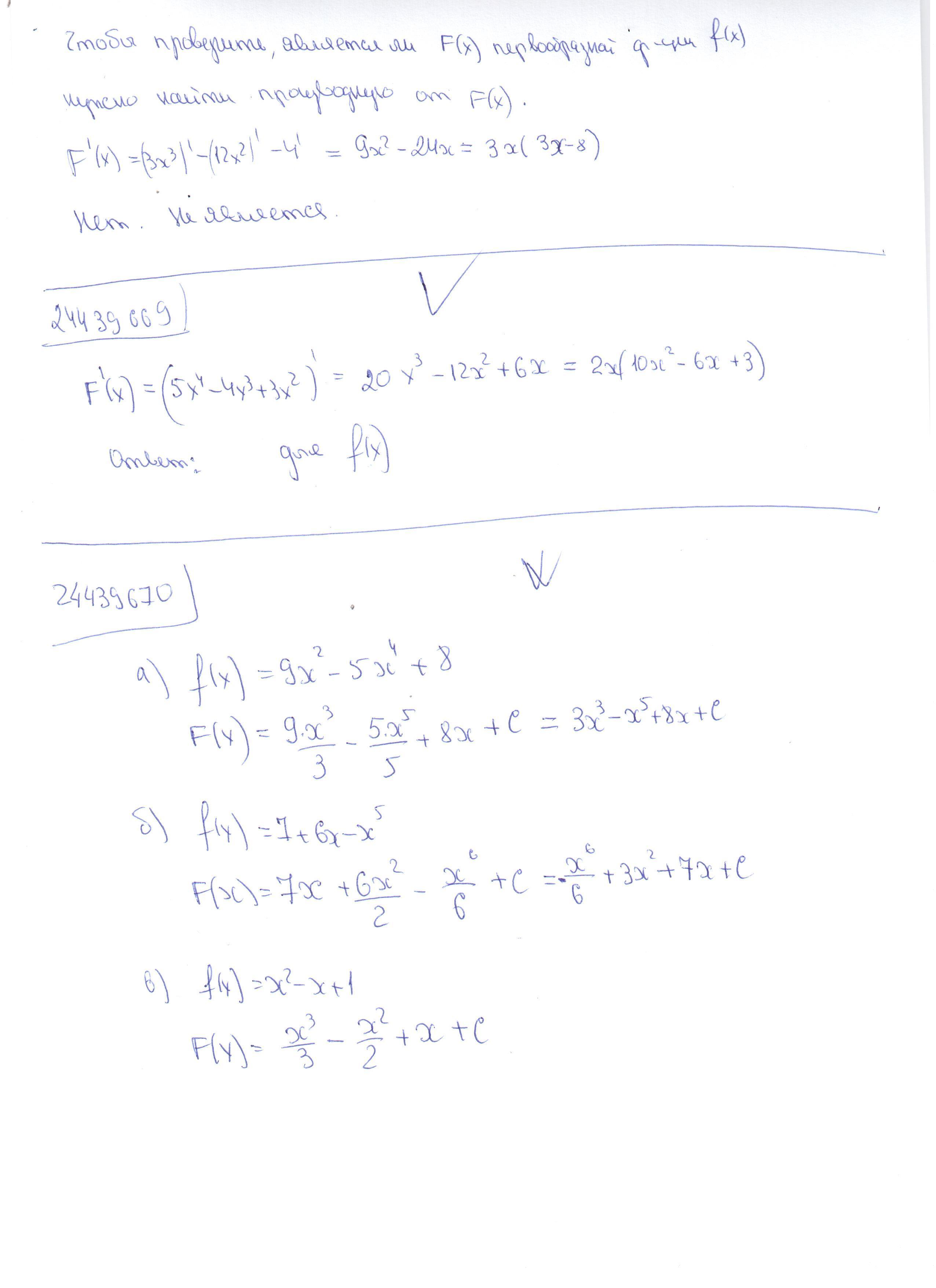
Найдите все первообразные функции f(x) :
Приложения:
Ответы
Автор ответа:
0
а) F(x)=3x³-x⁵+8x+C
б) F(x)=7x+3x²-(x⁶/6)+C
в) F(x)=(x³/3)-(x²/2)+x+C
б) F(x)=7x+3x²-(x⁶/6)+C
в) F(x)=(x³/3)-(x²/2)+x+C
Автор ответа:
0
Да, вам предложили верное решение.
Приложения:
Похожие вопросы
Предмет: Музыка,
автор: dalirabfrostborn
Предмет: Русский язык,
автор: rahmanovdarhan18
Предмет: Другие предметы,
автор: dasha9029
Предмет: Физика,
автор: SteeG