Предмет: Алгебра,
автор: marimayua
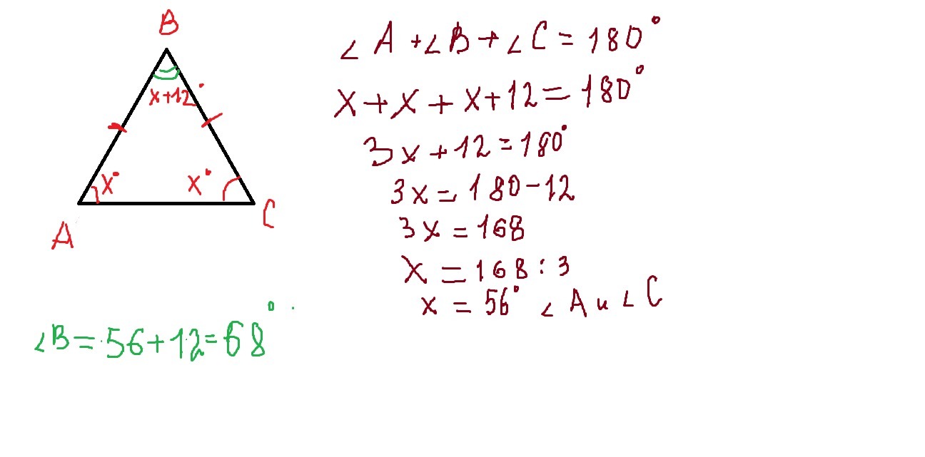
Кут при вершині рівнобедриного трикутника на 12 градусів більший за кут при основі. Знайдіть кути цього трикутника
Ответы
Автор ответа:
0
решение смотри внизу.
Приложения:
Автор ответа:
0
за 3 пари ковзанів та 4 пари лиж заплатили 480 грн скільки коштує пара лиж та ковзанів окремо якщо 2 пари ковзанів на 15 грн дрожчі за 1 пару лиж
Похожие вопросы
Предмет: Геометрия,
автор: alinapalanica87
Предмет: Русский язык,
автор: Kkkkkkkiraaaa
Предмет: Геометрия,
автор: Zherfik
Предмет: Математика,
автор: Dahsa2005
Предмет: Математика,
автор: Солнц12