Предмет: Математика,
автор: pavluhha6075
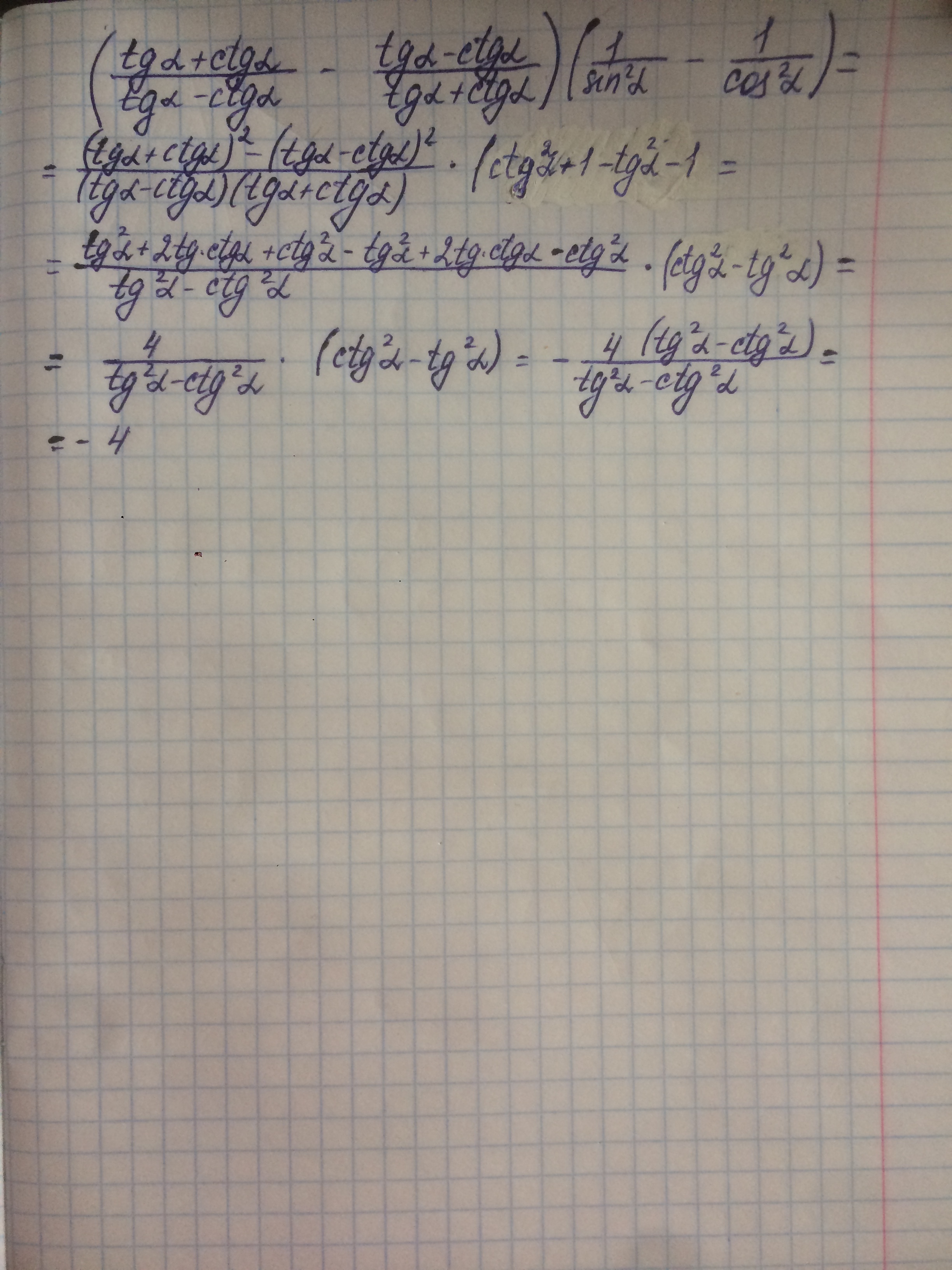
Упростить ((tga+ctga)/(tga-ctga)-(tga-ctga)/(tga+ctga))×(1/sina^2 - 1/cosa^2 )
Ответы
Автор ответа:
0
Минимум 20 символов тут.
Приложения:
Похожие вопросы
Предмет: Русский язык,
автор: Аноним
Предмет: История,
автор: sofavasileva29
Предмет: Қазақ тiлi,
автор: gdmadness074
Предмет: Математика,
автор: нануся2
Предмет: Химия,
автор: strelcov579