Предмет: Математика,
автор: Лера2107
пожалуйста,решите пример НЕ по действиям,А ВЫРАЖЕНИЕМ:
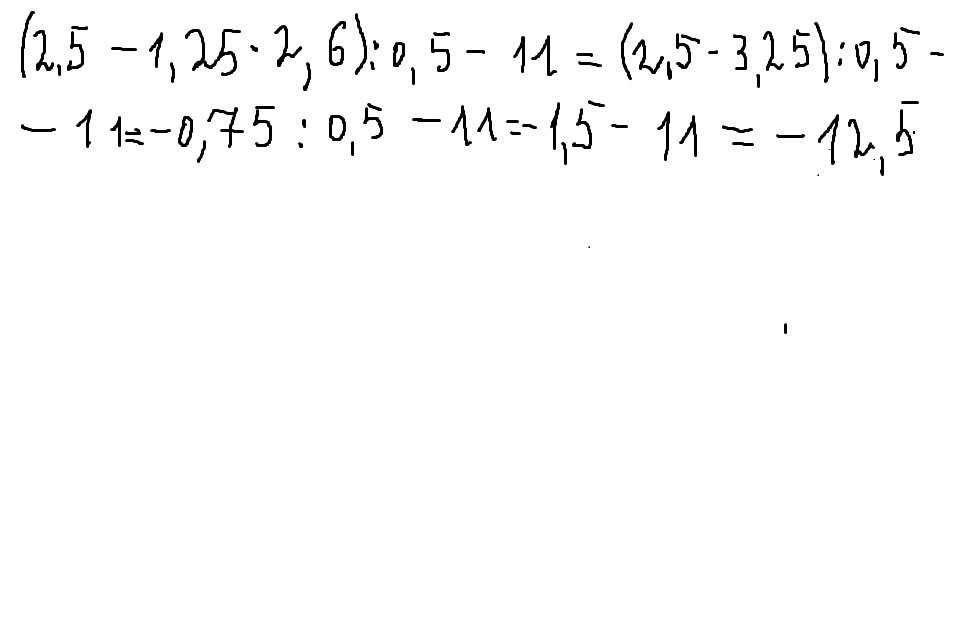
(2,5- 1 1/4(одна целая,одна четвёртая) х 2,6):0,5-11
Ответы
Автор ответа:
0
1 14=1,25 решение смотри внизу
Приложения:
Автор ответа:
0
Спасибо тебе большое)По больше бы таких,как ты)
Похожие вопросы
Предмет: Психология,
автор: diana99999999
Предмет: Математика,
автор: genshinimpact11
Предмет: Геометрия,
автор: Voronovm555
Предмет: Алгебра,
автор: ookksnaa
Предмет: История,
автор: catmaymay