Предмет: Алгебра,
автор: Аноним
№1
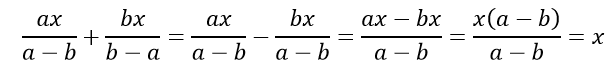
Упростить выражение: _ах___+__хb___
a-b b-a .
№2
Решить неравность: ___3х-2____больше чем 3.
х-2
№3
Розлажить на множетели:
(3а-2)^2 - (2-3а)^2
Ответы
Автор ответа:
0
ax/(a-b)+xb/(b-a)=ax/(a-b)-xb/(a-b)=(ax-xb)/(a-b)=x(a-b)/(a-b)=x
(3x-2)/(x-2)>3
3x-2>3x-6
-2>-6
не имеет корней
(3a-2)^2 - (2-3a)^2=(3a-2+2-3a)(3a-2-2+3a)=0*(6a-4)=0
(3x-2)/(x-2)>3
3x-2>3x-6
-2>-6
не имеет корней
(3a-2)^2 - (2-3a)^2=(3a-2+2-3a)(3a-2-2+3a)=0*(6a-4)=0
Приложения:
Автор ответа:
0
а как?я не умею
Автор ответа:
0
незачт
Похожие вопросы
Предмет: История,
автор: Sysoevaeva
Предмет: Алгебра,
автор: kimveronika765
Предмет: Русский язык,
автор: anyamelikhova20
Предмет: Математика,
автор: Натусик62