Предмет: Алгебра,
автор: shkiptan2013
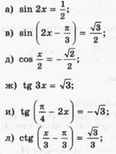
Прошу решите пожалуйста,оч надо
Приложения:
Ответы
Автор ответа:
0
решение на фотографии
Приложения:
Похожие вопросы
Предмет: География,
автор: helikzzz
Предмет: Русский язык,
автор: kilinaaneta
Предмет: Математика,
автор: Miniloona0s
Предмет: Математика,
автор: SophiaMeredith
Предмет: Математика,
автор: azhar51