Предмет: Математика,
автор: leranaumenkov
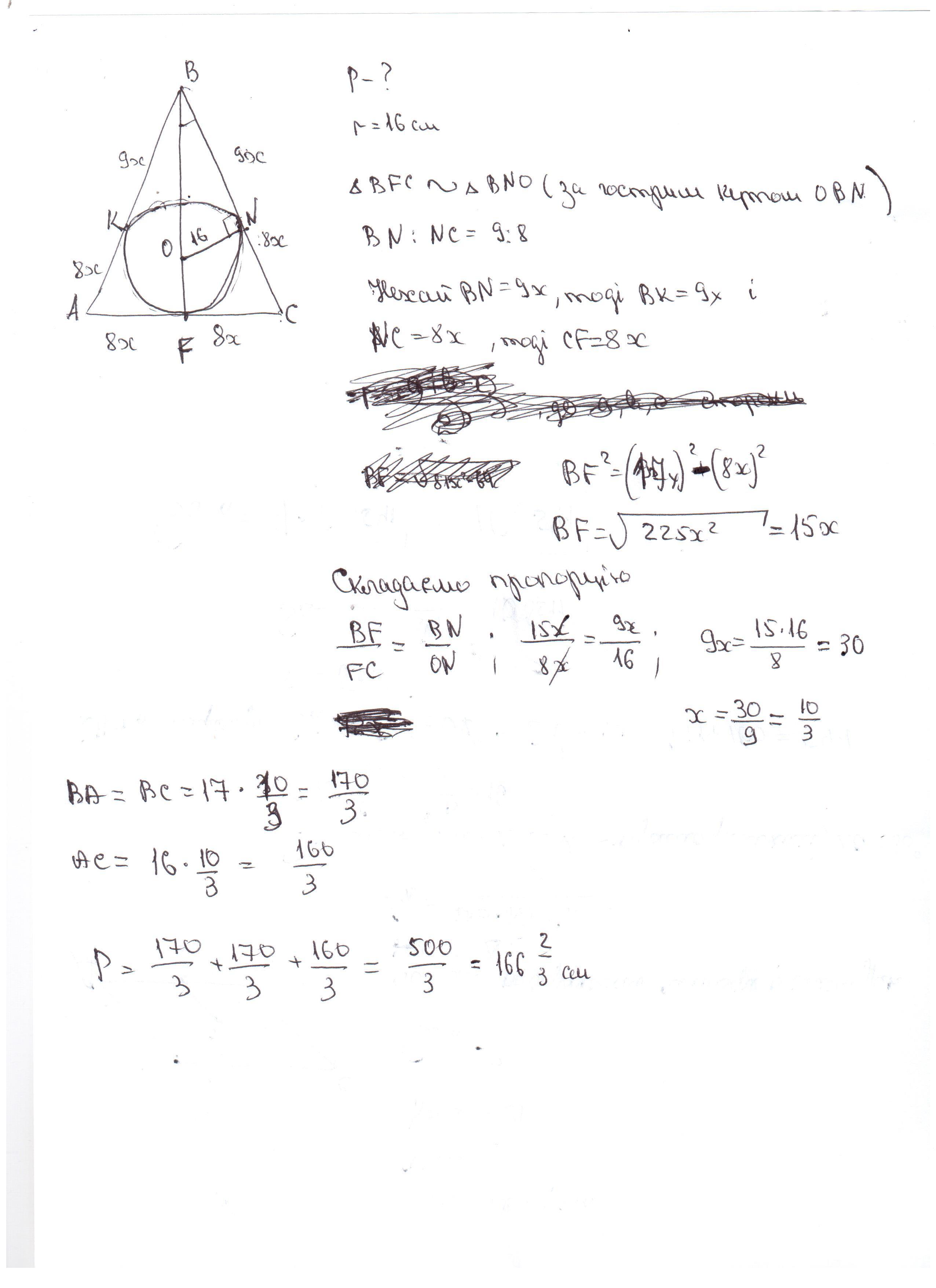
бічна сторона рівнобедреного трикутника точкою дотику вписаного кола ділить у співвідношені 89,рахуючи від вершини кута при основі трикутника .Знайдіть периметр трикутника ,якщо радіус вписаного кола дорівнює 16см
Ответы
Автор ответа:
0
трикутник i вписане коло.
Приложения:
Похожие вопросы
Предмет: Биология,
автор: Аноним
Предмет: Математика,
автор: mihajlovalena828
Предмет: Геометрия,
автор: arevolyuk
Предмет: Математика,
автор: soltanova1003
Предмет: Математика,
автор: cfhhcfghkgmailcom