Предмет: Математика, автор: Pripekashkin

Преобразуйте без замены,пожалуйста

Приложения:

Ответы

Автор ответа: ВладимирБ
0
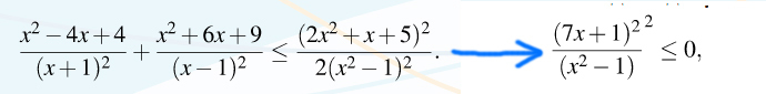
Решение смотри на фото
Приложения:
Похожие вопросы
Предмет: Математика, автор: nzorkov30
Предмет: Английский язык, автор: s9bro123
Предмет: Русский язык, автор: nuriya28
Предмет: Физика, автор: Z4Drot