Предмет: Алгебра, автор: pr8crastinati8n

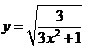
Найдите производную сложной функции

Приложения:

Ответы

Автор ответа: АмелияРайс
0
y'=  frac{1}{2} *( frac{3}{3 x^{2} +1} ) ^{- frac{1}{2} } * frac{18x}{(3 x^{2} +1) ^{2} }
Автор ответа: подкожного
0
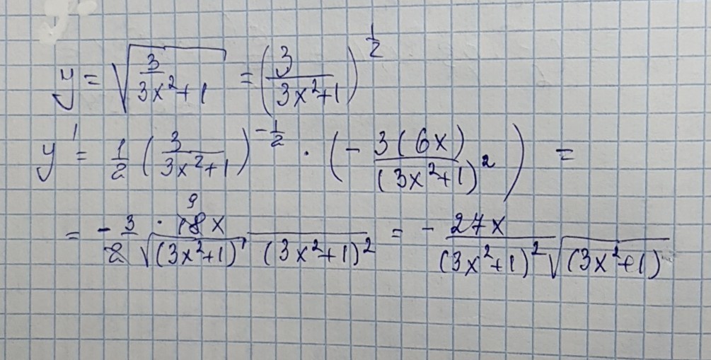
решение задания смотри на фотографии
Приложения:
Похожие вопросы
Предмет: Русский язык, автор: Rekaevvlad
Предмет: Математика, автор: Uznaika2