Предмет: Математика,
автор: 1YuriKOkay1
Здравствуйте, помогите пожалуйста решить домашнее задание по теме : «Иррациональные уравнения».
Найдите корни уравнения.
Приложения:
Ответы
Автор ответа:
0
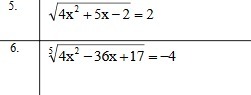
5) √4х² +5х -2 = 2
4х² +5х -2≥0 , сначала решим уравнение
4х² +5х -2=0
D =25+32=57
х₁ = (-5-√57)/8 ≈ -1,6
х₂ = (-5+√57)/8 ≈ 0,3
+ - +
________|___________|________
-1,6 0,3
х∈( -∞; -1,6] ∪ [0,3; +∞) - область определения
(√4х² +5х -2)² = 2²
4х²+5х -2 -4=0
4х² +5х -6 =0
D =25+96 =121, √121 = 11
х₁ = (-5-11)/8 = -2
х₂ = (-5+11)/8 = 0,75
Ответ: -2, 0,75
6) х∈(-∞; +∞) - область определения ( так корень пятой степени, то под корнем может быть и отрицательное число)
![(sqrt[5]{4x^2-36x+17})^5 = (-4)^5 (sqrt[5]{4x^2-36x+17})^5 = (-4)^5](https://tex.z-dn.net/?f=+%28sqrt%5B5%5D%7B4x%5E2-36x%2B17%7D%29%5E5+%3D+%28-4%29%5E5+)
4x² -36x +17 = -1024
4x² -36x +17 +1024=0
4x² -36x +1041 =0
D/4 = 324 - 4164 = -3840 < 0 - корней нет
4х² +5х -2≥0 , сначала решим уравнение
4х² +5х -2=0
D =25+32=57
х₁ = (-5-√57)/8 ≈ -1,6
х₂ = (-5+√57)/8 ≈ 0,3
+ - +
________|___________|________
-1,6 0,3
х∈( -∞; -1,6] ∪ [0,3; +∞) - область определения
(√4х² +5х -2)² = 2²
4х²+5х -2 -4=0
4х² +5х -6 =0
D =25+96 =121, √121 = 11
х₁ = (-5-11)/8 = -2
х₂ = (-5+11)/8 = 0,75
Ответ: -2, 0,75
6) х∈(-∞; +∞) - область определения ( так корень пятой степени, то под корнем может быть и отрицательное число)
4x² -36x +17 = -1024
4x² -36x +17 +1024=0
4x² -36x +1041 =0
D/4 = 324 - 4164 = -3840 < 0 - корней нет
Похожие вопросы
Предмет: Алгебра,
автор: Аноним
Предмет: Математика,
автор: lps74641
Предмет: Математика,
автор: damirsangil090803
Предмет: Алгебра,
автор: Dave1234
Предмет: Физика,
автор: 09580551