Предмет: Алгебра,
автор: Nats3
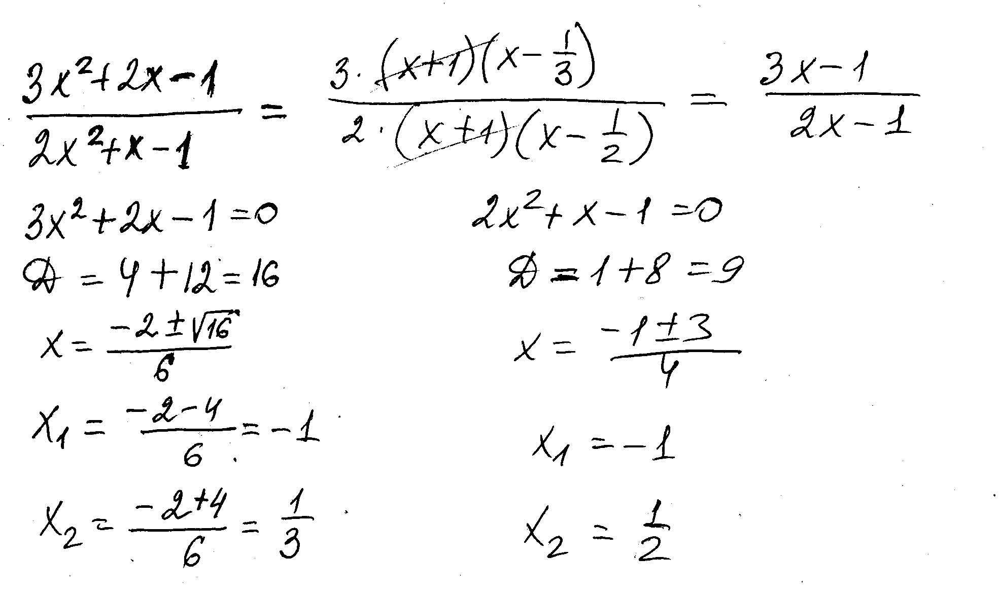
Сократите дробь! (7 задание)
Нужна помощь! 8 класс
Приложения:
Ответы
Автор ответа:
0
решение во вложенном файле
Приложения:
Автор ответа:
0
Огромное спасибо!!
Похожие вопросы
Предмет: Алгебра,
автор: Cef1rka
Предмет: Математика,
автор: anastasia725
Предмет: История,
автор: sabinakajrat7
Предмет: Алгебра,
автор: maks0n3ik