Предмет: Математика,
автор: 228Лера228
очнь надо, плезз решите на листке у себя и сфоткайте и отправьте фото в коментарии к этой задачке плеззззз помогите
Приложения:
Ответы
Автор ответа:
0
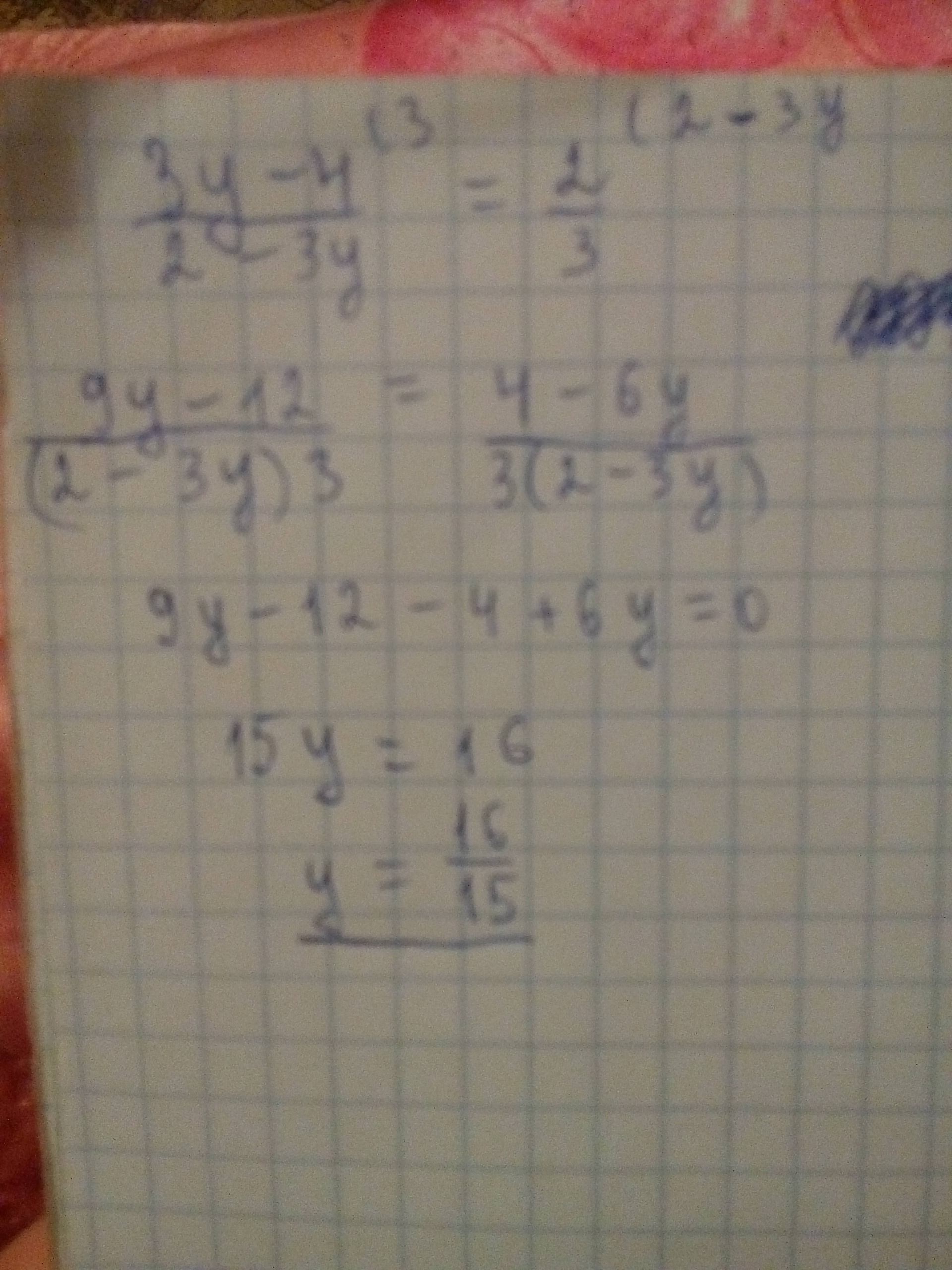
........ Вроде бы так
Приложения:
Похожие вопросы
Предмет: Русский язык,
автор: pikoshmasip
Предмет: Английский язык,
автор: tursunalyaaulym
Предмет: Қазақ тiлi,
автор: cicakibragimova
Предмет: Химия,
автор: dinara48
Предмет: Химия,
автор: НоВиЧЕКккк