Предмет: Алгебра,
автор: iven1998
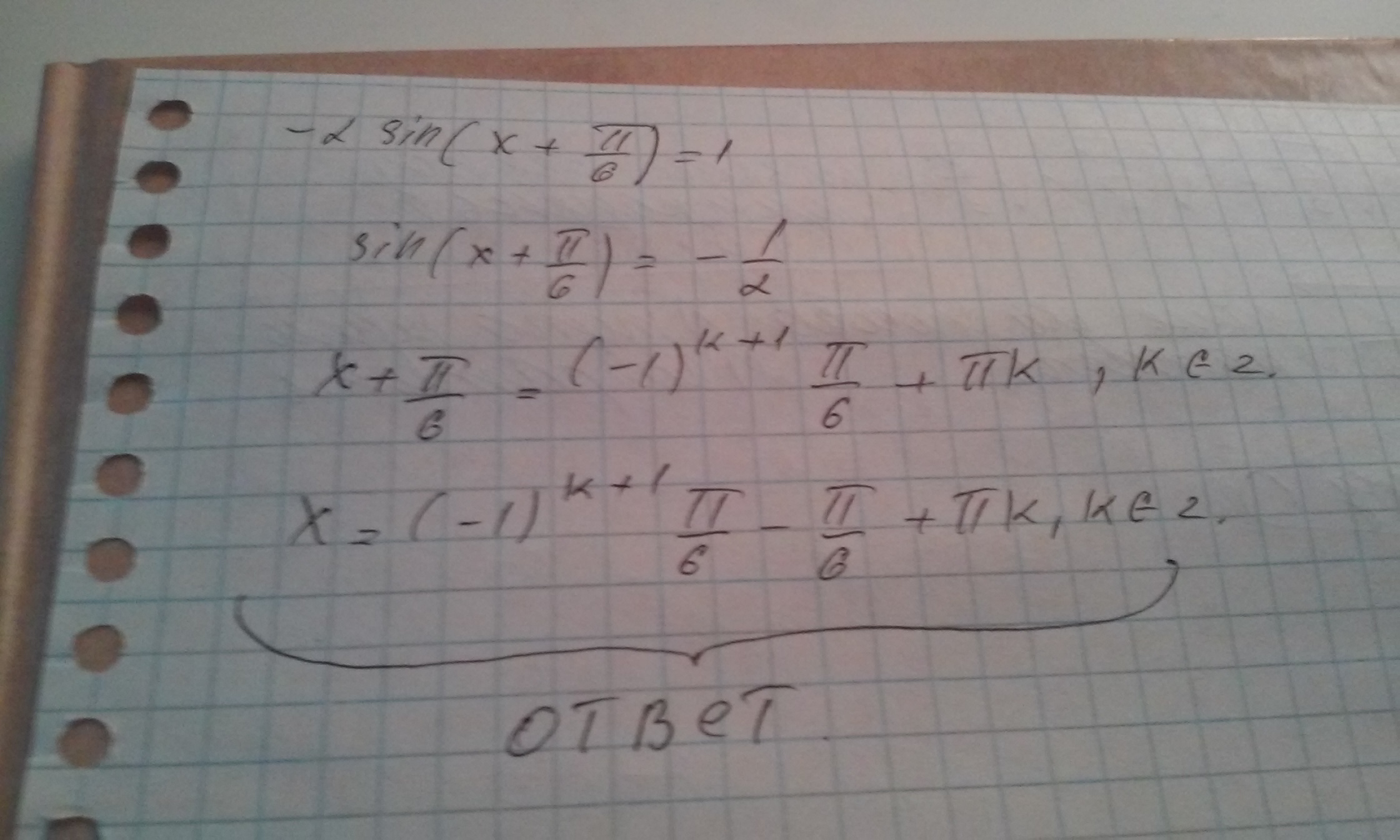
Розв'яжіть рівняння
-2sin(x+n/6)=1
Ответы
Автор ответа:
0
))))))))))))))))))))))))))))))))))))))))))))))))))))))))))))))))))))))))))))))))))))))))))))))))))))
Приложения:
Похожие вопросы
Предмет: Другие предметы,
автор: sashastrasilki6775
Предмет: ОБЖ,
автор: singipo
Предмет: Психология,
автор: DianaSlut
Предмет: География,
автор: София13579
Предмет: Химия,
автор: dinara005