Предмет: Алгебра,
автор: ksenya221122
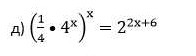
Помогите решить уравнение.
Приложения:
Ответы
Автор ответа:
0
Решение на фотографии
Приложения:
Похожие вопросы
Предмет: Литература,
автор: ktohz6020
Предмет: Математика,
автор: martyukkk
Предмет: Алгебра,
автор: yakubovazimilyatka
Предмет: Химия,
автор: з16
Предмет: Алгебра,
автор: YanohkaSudarenko