Предмет: Алгебра,
автор: rimmma
Помогите пожалуйста хоть что то
Приложения:
Ответы
Автор ответа:
0
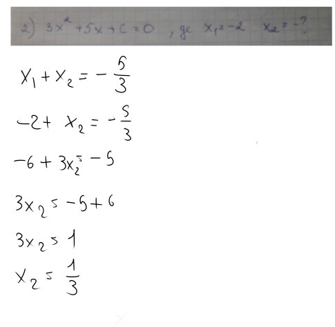
Решение 3-ого задания,
Потом добавлю остальные
Потом добавлю остальные
Приложения:
Похожие вопросы
Предмет: История,
автор: veraermakova683
Предмет: Математика,
автор: HilichurlYT
Предмет: Английский язык,
автор: snadmaslova
Предмет: Биология,
автор: Kuralai87