Предмет: Алгебра,
автор: Виktoрiz
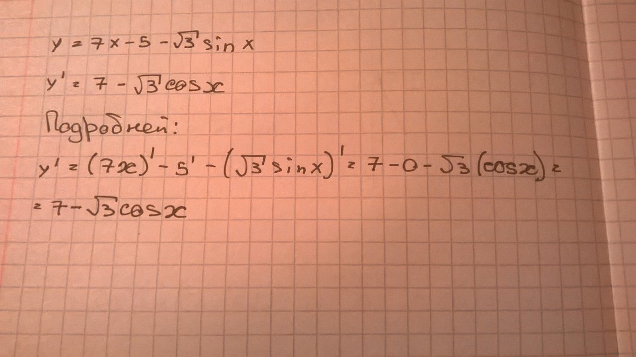
Исправьте пожалуйста ошибку
Найти значение производной функции в точке
Приложения:
Ответы
Автор ответа:
0
производная равна : 7-корень из 3*cosx.
Автор ответа:
0
Ошибка во второй строчки, знак плюс не появляется, тк производная синуса косинус. В третей строчки (по мимо знака) пропал синус, а этого не должно быть
Приложения:
Похожие вопросы
Предмет: Математика,
автор: musalimovaelizaveta
Предмет: Другие предметы,
автор: nazarpaschenko
Предмет: Математика,
автор: azaliamingaleeva16
Предмет: Литература,
автор: Sabinoka995
Предмет: Математика,
автор: yana01111