Предмет: Алгебра,
автор: Sampiyon
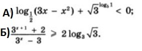
100 баллов. ПОМОГИТЕ, ПОЖАЛУЙСТА. МАКСИМАЛЬНО ПОДРОБНО
Приложения:
Ответы
Автор ответа:
0
Решение смотри на фото
Приложения:
Похожие вопросы
Предмет: Физика,
автор: beautifulzadr
Предмет: Химия,
автор: Coba4enka
Предмет: Английский язык,
автор: Аноним
Предмет: Математика,
автор: jubanovmyrat19780223
Предмет: Обществознание,
автор: RocNRol