Предмет: Алгебра,
автор: Moonlight06
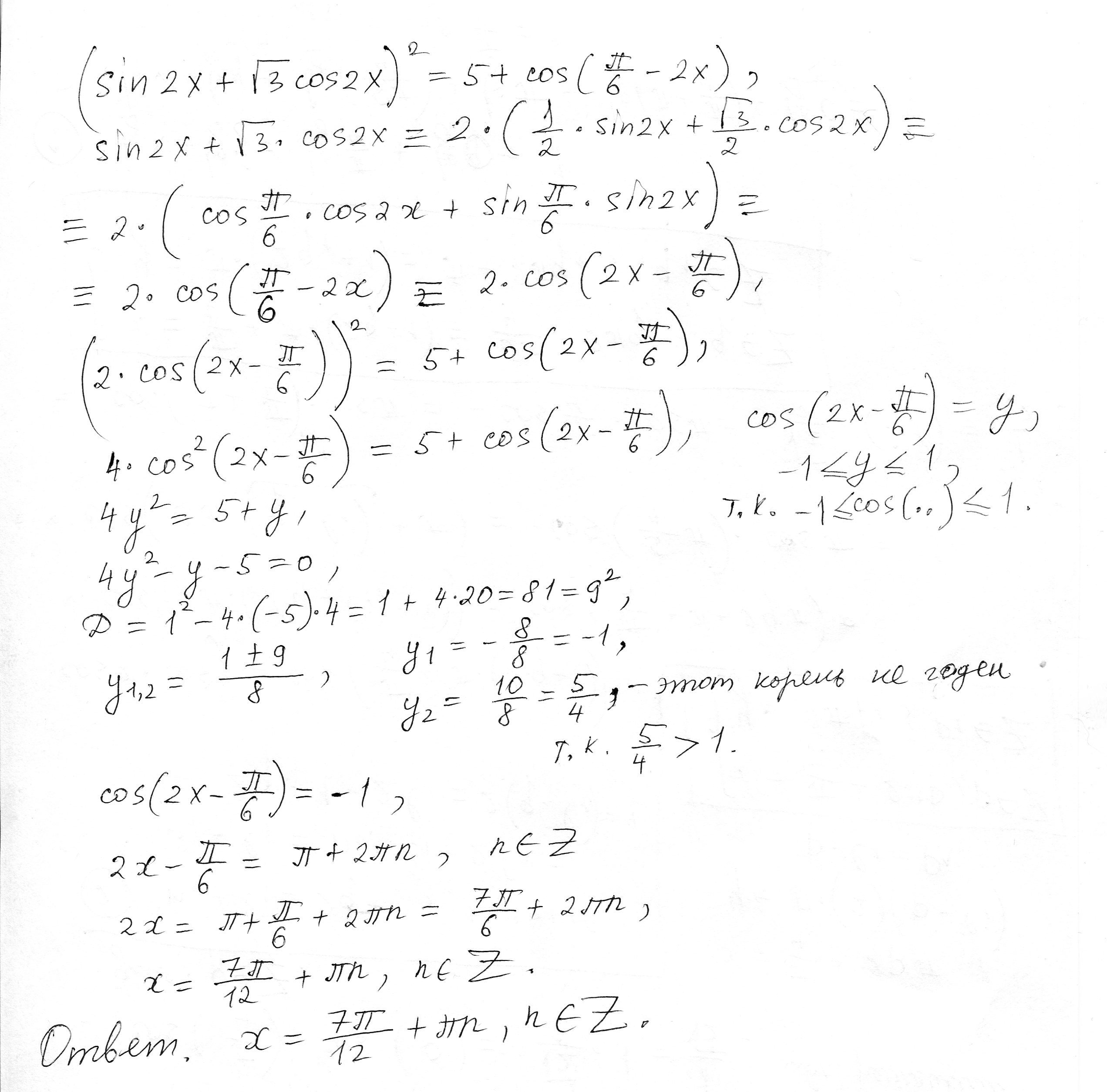
(Sin2x+корень3 cos2x )^2=5+cos (p/6-2x) решите уравнение
Ответы
Автор ответа:
0
Я решил на листочке.
Приложения:
Похожие вопросы
Предмет: Биология,
автор: askaliya
Предмет: Алгебра,
автор: avezucij6
Предмет: Алгебра,
автор: yugolovin
Предмет: Математика,
автор: leshasinitsin